登录| 注册    
收藏  点赞 

标准木法

在标准地或林分调查中,用标准木实测材积推算全部林木蓄积量的方法。一般可分为平均标准木法和分级标准木法两类。平均标准木法又称单级法,德国胡伯尔(F.X.Huber)1825年提出。其工作步骤为:①对全林分进行每木检尺,并计算出平均直径。②测定树高绘制树高曲线

标准地林分调查中,用标准木实测材积推算全部林木蓄积量的方法。一般可分为平均标准木法和分级标准木法两类。

平均标准木法

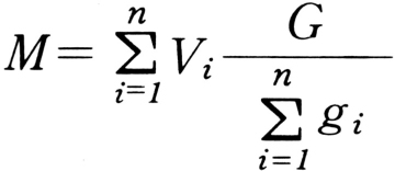
又称单级法,德国胡伯尔(F.X.Huber)1825年提出。其工作步骤为:①对全林分进行每木检尺,并计算出平均直径。②测定树高绘制树高曲线,查出平均直径所对应的树高值即林分平均高。③寻找1~3株与平均直径和平均树高接近(一般要求相差不超过5%)、干形中等的树木作为平均标准木,伐倒区分实测树干材积。④按下式求算全林蓄积:

标准木法

式中 n标准木株数;Vigi分别为第i株标准木的材积和胸高断面积;GM分别为林分或标准地上全部林木的胸高断面积积蓄积。此法中选好平均标准木至关重要,用其推算蓄积的误差一般在±5%之间。

分级标准木法

为提高蓄积测算精度,先将全部林木分为若干径级组,在各组中按平均标准木法测算蓄积,后汇总得全林蓄积量的方法。常用的方法有:①等株径级组标准木法:依径阶顺序将林木分为株数基本相等的3~5个径级进行测算。该法1881年由乌里希(V.Urich)提出。②等断面积分级标准木法:依径阶顺序将林木分为断面积大体相等的3~5个径级进行测算。该法1868年由哈特格(R.Hartig)提出。③径阶等比标准木法:先确定选取标准木株数占总株数的百分数,再根据此比例分配每个径阶应选的标准木,然后在每个径阶选出标准木进行测算。该法1860年由德拉顿(A.Draudt)提出。此外,也可以通过绘制材积直线或按数理统计方法求解Vi=agi+b直线方程(式中ab为参数),以确定各径阶的平均单株材积,再根据各径阶株数求算出林分蓄积量。这种求算方法,可基本消除标准木干形偏差对材积的影响,因而能提高蓄积量测算精度。

(周昌祥)

(phenotype test)

对林木性状表现进行遗传测定的技术和方法。又称遗传测定。林木的表现型即林木表现出来的性状,它是林木本身遗传组成(即基因型)与生长地环境条件综合作用的结果。因此,按表现型选择出来的林木,必须通过遗传上的测定,才能判断其性状可以真实遗传的程度,从而对选育材料作出评价。表现型测定是林木选种和育种工作中的重要环节。

表现型测定方法可分为两类:①间接测定:根据相关性状进行的测定,如根据萜烯类组成和含量筛选树木抗病虫害个体;②直接测定:以性状本身的表现作为衡量标准,如根据树高和直径评定材积生长。当所需性状难于直接鉴别或间接指标易于分析时,可采用间接测定。由于选择性状与所需性状间的相关系数通常小于1,所以间接测定的效果往往低于直接测定,同时,间接测定的结果最终仍将以直接测定来验证。因此,直接测定是当前林木育种中的主要遗传测定方法。直接测定又包括子代测定和无性系测定。凡按表现型选择出来的个体,通过种子育成的苗木,或用无性方法繁殖成无性系,按试验设计进行的田间对比试验,分别称为子代测定和无性系测定。

田间对比试验的测定内容因育种目标而异,一般包括:①生长量:包括树高、直径、材积连年生长量和总生长量,以及生长过程中各时期的特点;②形质指标:包括通直度、圆满度、分杈情况、侧枝粗细度、开张度、冠形、冠幅、枝叶密度和木材材质等;③抗性特点:包括抗病、抗虫、抗旱、抗风、抗寒、抗大气污染及耐盐碱能力等。经济树种的主要测定内容,是特定产品的产量、质量、早熟性及抗性等。测定期限,用材树种为1/3~1/2轮伐期,经济树种到盛果期。经测定合格的家系或无性系,通过相应的良种繁育途径,在生产中推广应用。

(张廷桢)

(endangered wildlife)

由于自然或人为因素的影响,种群数量及其分布范围已缩减到难于维持生存而濒临绝灭或有绝灭危险的野生动物。濒危动物一般具有种群过小、密度过低、分布区小或零散分隔,或在繁殖、遗传上有某种障碍和缺陷等特征。

简况

在生物界漫长的进化过程中,物种的形成、发展直至绝灭是一种自然规律,但是人类的活动加剧了物种的绝灭。例如,在更新世早期平均83.3年绝灭一种鸟类,而现在平均3.6年绝灭一种;近两千年来全世界约绝灭的1000种野生动物中,16世纪以后绝灭的就有250种。目前,全世界濒于绝灭的野生脊椎动物达1000余种,其中鸟类400种、兽类305种、两栖爬行类138种、鱼类193种;被列入《濒危野生动植物种国际贸易公约》,限制贸易、予以保护的野生动物有2000多种,其中中国有分布的占1/7。

造成某些动物濒危的原因

①生境的破坏:森林的采伐、草原的开垦和湿地的排干,以及环境污染等都会造成环境的破坏。这是造成野生动物处于濒危状态的主要原因。②过度捕猎:不加控制的开发利用可以在几十年内使个体数众多的物种趋向绝灭。③引入外来种的竞争:具有相同需要的两种生物,不能永久生活在同一环境中,其中一方最终要消失。这种情形多见于岛屿。④协同进化种或共生种的绝灭:一个物种的绝灭往往引起对它有依存关系的其他物种绝灭。此外,还有一些原因如疾病和自然灾害(火山爆发、飓风或干旱等),也能使动物绝灭或处于濒危状态,但与上述原因比较起来,影响范围较小,时间也较短暂,因而是比较次要的。

保护和拯救濒危动物的措施

野生动物一旦绝灭就不会再生,对人类无疑是一大损失,因而保护和拯救濒危动物是一项十分紧迫的任务。主要措施有:①查明动物的处境,如处于濒危状态,应受到法律保护,并且广泛宣传,争取群众的支持。②在濒危动物的栖息繁殖地建立自然保护区,排除造成动物处于濒危状态的各种原因,改良生境或恢复动物所要求的生境。③如果动物种群过小,分布区过于狭小,造成绝灭概率过大时,可考虑人工繁殖,达到一定数量再引入野外。④加强对濒危动物的科学研究。由于濒危动物稀少珍贵,可先用近缘种作为替身进行研究,待掌握了可靠方法之后再施用于濒危动物。⑤建立健全管理机构,加强国际间的合作和交流。目前,中国已为大熊猫、羚牛、金丝猴、东北虎、朱鹮、丹顶鹤等濒危动物建立了自然保护区;正在进行将人工繁殖的麋鹿和野马再引入自然生境的实验,并建立了扬子鳄繁殖中心,正在筹建东北虎、华南虎等繁殖中心;在林业部设有中华人民共和国濒危物种进出口管理办公室,并成立了群众性的中国野生动物保护协会;加入了《濒危野生动植物种国际贸易公约》、国际自然与自然资源保护联盟和人与生物圈国际协调理事会;与日本签订了《中华人民共和国和日本国政府保护候鸟及其栖息环境的协定》;与世界野生生物基金会等组织合作开展了大熊猫、雪豹等动物的保护研究工作。

标准木法