登录| 注册    
收藏  点赞 

测高器

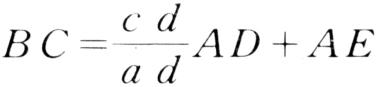
测定树木全高、冠长、枝下高和某一定粗度处的干高或商品材高的测树工具。测高器的原理分几何学的相似三角形与三角术两类。多数测高器需要用卷尺或光学视距装置测出水平距离。韦塞测高器又称圆筒测高器。它由装有测定高度的齿状刻度板的圆形观测筒和带有悬锤的相同刻度尺所组成(图1a)。用悬锤刻度尺在仪器上确定水平距离。应用时如图1b

测定树木全高、冠长、枝下高和某一定粗度处的干高或商品材高的测树工具。测高器的原理分几何学的相似三角形与三角术两类。多数测高器需要用卷尺或光学视距装置测出水平距离。

韦塞测高器

又称圆筒测高器。它由装有测定高度的齿状刻度板的圆形观测筒和带有悬锤的相同刻度尺所组成(图1a)。用悬锤刻度尺在仪器上确定水平距离。应用时如图1b,并按下式计算树高(BC):

图1 韦塞测高器(a)及其在平地上的应用(b

测高器

式中 AE为在平地测高时的眼高。在坡地时可分别仰视观测树梢与俯视树基,得出仰视的cd与俯视的cd′,分别算出CDBD,求和得全高。这样就无须测定AE。即

测高器

如果观测树梢与树基都是仰视,树基位置比眼高还高,则算出CDBD的差得全高。

克里斯屯测高器

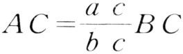
不必测量水平距的几何测高器。测树时在贴近树干处竖一定长的标竿(一般长2米),再以一根定长直尺(一般为30厘米)捏住上端使其下垂,当视线上下观测树梢和树基时,恰好通过直尺的上下两端(图2a)。此时观测标竿顶端的视线与直尺相截的位置即得图中bc这一段。按下式可计算出树高(AC):

测高器

当标竿BC长2米,直尺ac长30厘米时,代入此式以不同的树高,即可计算出相应树高的bc长度。把算出的不同bc值刻画在直尺上,即为克里斯木测高器。为便于应用,直尺的上下方的长出部分应稍宽于直尺(图2b)。

图2 克里斯屯测高器(b)及应用(a)

布鲁莱斯测高器

1955年,由帕迪(J.Parde)按三角术原理设计、卡尔莱斯(Kal Leiss)公司制造的带有简单视距器的测高器(图3a)。仪器有铝质外壳。刻度盘上为依次按15米、20米、30米与40米几种水平距的不同仰视与俯视观测角对应,并加上1.5米眼高的树高刻度。40米刻划以下还刻有角度,用于观测俯仰角与坡度。度盘上的树高刻划按下式计算:

图3 布鲁莱斯测高器

h=AB·tgα+AE

式中 h为树高;AB为测站到待测树干的水平距;α为仰视观测角;AE为眼高(等于1.5米)。图3b为视距标尺,把它悬挂在树干的1.5米高处。通过以方解石为光学镜片的视距器观测标尺时,由于双折射而使标尺刻划向上方位移。当15的刻画与上方。刻画重合时,在平地为水平距15米,在坡地为斜距15米。应用于平地测高时,在15米刻度弧上读出摆针位置的数字,即为树高。在坡地测高时,因视距为斜距,比据以计算刻划的水平距为小,所读得树高偏大,须按下式进行改算:

h=h′(1-sin2θ

式中 h′为按针斜距读得的树高;θ为坡度。中国徐州黄山仪器厂仿制的这种测高器,未安装视距器,定名为Sc-Ⅱ型测高器。

桑托测斜器和PM-5型桑托测高器

为芬兰制造的轻便三角术测量仪器。体积57立方厘米,重120克。外壳为防腐铸铝,刻度牌支撑在有宝石的轴承上。全部活动部件浸泡在严密密封的塑料容器里的缓冲液体之中,以消除刻度牌的震动,并能使它在容器中平稳移动。缓冲液体不受阳光和水分的影响,不冻结,便于在北极或热带的高海拔地方使用。光学标尺刻画范围为±90°与±150%。通过无视差的透镜很容易读数,可直接读出1度或1%,估读可达2分或0.2%。PM-5型增添了视距器和无须电源而能使用15年的氚灯泡来照亮鼓轮刻画,体积与重量不变(图4)。苏联把它称为现代最盛行的测斜器。

图4 PM-5桑托测高器

阿布尼水准器

固定在长6英寸(约15厘米)的视管上,刻有度数、坡度百分数和地形线划弧的水准刻器图5)。简称手持水准。是美国广泛采用的三角术测高器。中国生产的这种水准器只有度数刻画。水准器式测高器应用简便,从视管瞄视树高,搬动指摆,当在视管镜子里见到水准泡居中时的角度即为测定树高在眼高以上的仰角。同样观测树基得俯角,则树高为:

图5 阿布尼水准器

h=AB(tgα+tgβ)+AE

式中 AB为水平距;αβ分别为仰、俯角(可取坡度百分数)。

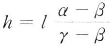
1968年,柯茨(R.O.Curtis)和布鲁斯(D.Bruce)提出把三角术与克里斯屯几何测高法结合起来,不必测定水平距离,只测定与树干贴近的标竿的角度百分数,按下式计算树高:

测高器

式中 l为标竿长(被测树高的1/5~1/4);αβγ分别为观测树梢、树基与竿顶的坡率(用正切函数的百分数表示)。所测得的αβγ坡率,仰视时取正值,俯视时取负值。