登录| 注册    
收藏  点赞 

带状样地调查

以平行于某个方向的一定宽度样带为抽样单元的森林调查方法。为便于控制,样带宽度一般为5~20米。带状样地多用于交通不便、转移困难的原始林、热带林等的调查,以及混交林中某些稀少而又不均匀分布的树种资源清查。带状样地调查与一般样地调查相比,抽样单元面积大而单元数少,在抽样比(抽取的样地或样带面积与抽样对象的总面积之比)相同的条件下,带状样地调查的标准误一般要大于其他样地调查。

以平行于某个方向的一定宽度样带为抽样单元的森林调查方法。为便于控制,样带宽度一般为5~20米。带状样地多用于交通不便、转移困难的原始林、热带林等的调查,以及混交林中某些稀少而又不均匀分布的树种资源清查。带状样地调查与一般样地调查相比,抽样单元面积大而单元数少,在抽样比(抽取的样地或样带面积与抽样对象的总面积之比)相同的条件下,带状样地调查的标准误一般要大于其他样地调查。

样带设置和调查

在全林内,按样带宽度和一定方向在图上分划出全部样带,并对样带进行编号。带的两端均在林缘线上(见图)。先根据预估变动系数和要求精度确定需调查的样带数,然后按随机或系统抽样法决定抽中的样带号。在林地中设置样带,带内进行每木调查并记录各种测树数据。调查时要严格控制样带宽度,防止偏差。

带状样地设置示意图

总体估计

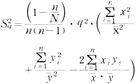
由于各带长度不等,即样本单元面积不等,一般采用比估计方法。即:如果全林的样带数为N,调查的样带数为n,第i样带包含的林地面积为x,某个调查指标值的和为y,则林地中该调查指标的单位面积平均值为

带状样地调查

标准误为

带状样地调查

式中

带状样地改进

①为了降低抽样的标准误,提高调查精度,可将调查林地划分成小区,分区设置样带进行调查。这样在抽样比不变的条件下,样本含有长度较短而数量较多的样带,从而既可降低抽样的标准误,又可增大自由度,缩小置信区间。②为适应分层抽样的需要和减少工作量,可沿测线按一定间距设置样地以代替连续样带。这种调查方法称为线上样地法。它的好处是:可避免样带宽度不易控制而产生的偏差;减少调查工作量而不至于降低调查精度;可将样圆作为抽样单元,进行分层处理。此外,小面积系统配置的样带调查中,在测线上记录林分的变化位置,可以得到林分分布空间信息。

大袋蛾雄成虫