登录| 注册    
收藏  点赞 

断面积生长量

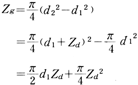
树木断面积随年龄增加而增长的数量。它与直径平方的生长成正比。 断面积生长量 式中:Z为断面积生长量;d1为期初直径;d2为期末直径;Z为直径生长量。Z的平方值很小,常舍去不计。则计算式可简化为 断面积生长量 上式说明,断面积生长量不仅与直径生长量大小有关,而且随树木本身直径大小而变化。当直径生长量相等时,树木直径愈大,其断面积生长量亦愈大。

树木断面积随年龄增加而增长的数量。它与直径平方的生长成正比。

断面积生长量

式中:Z为断面积生长量;d1为期初直径;d2为期末直径;Z为直径生长量。Z的平方值很小,常舍去不计。则计算式可简化为

断面积生长量

上式说明,断面积生长量不仅与直径生长量大小有关,而且随树木本身直径大小而变化。当直径生长量相等时,树木直径愈大,其断面积生长量亦愈大。甚至在直径生长量有些下降的情况下,断面积生长量仍会增加,使材积生长量继续增长。由于断面积生长量与材积生长量紧密相关,所以在确定抚育间伐期和间伐木时,必须加以考虑断面积生长量随树木直径变化的这一特点。不能仅以测定的年轮宽度(直径生长量)作为衡量指标,而应同时兼顾树木的直径,以判断林木的断面积和材积生长量是否下降。