登录| 注册    
收藏  点赞 

伐倒木材积测定

用数学或物理方法测算伐倒木体积的工作。树木从根部伐倒后的形态称为伐到木。伐倒木的体积叫材积,以立方米表示。伐倒木材积分去皮和带皮材积。由于树干占树木材积的绝大部分,所以伐倒木材积测定通常是测定树干材积。伐倒木去掉直径6厘米以下梢头后叫原条,根据造材要求区分成的木段叫原木。测定它们的材积既可用直接量测直径和长度来计算的数学方法,也可用测容、称重的物理方法。

用数学或物理方法测算伐倒木体积的工作。树木从根部伐倒后的形态称为伐到木。伐倒木的体积叫材积,以立方米表示。伐倒木材积分去皮和带皮材积。由于树干占树木材积的绝大部分,所以伐倒木材积测定通常是测定树干材积。伐倒木去掉直径6厘米以下梢头后叫原条,根据造材要求区分成的木段叫原木。测定它们的材积既可用直接量测直径和长度来计算的数学方法,也可用测容、称重的物理方法。

数学方法

通常把树干看成是由各种曲线组成的旋转体,并把与树干垂直的断面看作为圆形。一株完整的树干,从树梢至基部顺序由圆锥体、抛物线体、圆柱体和凹线体组成。因而,只要测出一定部位的直径和长度,利用不同曲线旋转体公式,便可计算出树干材积。

中央断面积求积式

又称胡伯尔式(B.Huber,1825)。

伐倒木材积测定

式中d1/2、g1/2为树干中央直径及相应的断面积;l为树干长。此式是把树干当作抛物线体,按照中央直径的抛物线体体积公式求树干材积。误差较小,常出现负误差,其误差变化范围在±5%。

平均断面积求积式

又称斯马林式(H.L.Smalian,1806)。

伐倒木材积测定

式中do、dn和go、gn分别为树干大头、小头直径和相应断面积。此式也是把树干当作抛物线体。由于把树干基部扩张部分作为大头直径,底面积不规则,因而一般计算精度较差。

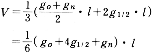
牛顿求积式

又称李克式(P.V.Riecker,1849年引用于本学科)。

伐倒木材积测定

此式可看作平均断面积求积式和中央断面积求积式的加权平均式,即

伐倒木材积测定

区分求积法

为了提高木材材积测算精度,可将长树干按一定长度(通常1米或2米)区分成若干段,分别测算各段材积,再把各段材积合计而得全树干材积。这样区分的结果可使树干形状的复杂程度相对地减小。各区分段材积可用以上三种方法求算,但一般多采用中央断面积求积式;不足一个区分段的部分视为梢头按圆锥体公式计算其材积。即

伐倒木材积测定

式中 g为第i个区分段的中央断面积;i为区分段长度;为梢头底断面积;l’为梢头长度;n为区分段个数。树干分段求积是常用材积测定方法中比较精确的一种。

物理方法

对形状不规则不易直接量测的木材,常用物理方法间接测定其材积。主要方法有:①测容法:将木材浸入装满水的容器中,测定所排出的水量,即可求得木材材积(见测容器)。②水中浮力法:根据阿基米得原理,物体在空气中重量与在水中重量之差,等于该物体相同容积的水重。即物体在水中减轻一公斤,其体积约为0.001立方米。例如:物体在空气中重量为公斤,在水中重量为W2公斤,其体积以立方米表示则为

伐倒木材积测定

量测时为使木材全部浸入水中,木材上可压一重物。这样便需要分别算出重物与木材合计的体积和单独重物的体积,然后取其差值得出木材材积。用此法可以测算出木材比重。③比重法:在量测大批材积时,可先测定出全部木材重量,再用其比重除之,即为木材的全部材积。

V=W/S

式中 W为木材重量;S为木材比重。