登录| 注册    
收藏  点赞 

航空象片分层抽样

利用航空象片的判读性能将森林对象分类(层),在各类(层)中取样以估计总体的一种调查技术。象片分层抽样的关键是制订较好的分层方案,充分发挥象片作用,准确地判读分层,尽可能缩小层内的变动,以提高分层效益。象片分层抽样技术于第二次世界大战后引入林业,60年代成为各国主要的森林调查方法。1962年中国开始应用象片进行分层抽样森林调查,现已广泛用于大面积森林清查和森林经理调查工作。

利用航空象片的判读性能将森林对象分类(层),在各类(层)中取样以估计总体的一种调查技术。象片分层抽样的关键是制订较好的分层方案,充分发挥象片作用,准确地判读分层,尽可能缩小层内的变动,以提高分层效益。象片分层抽样技术于第二次世界大战后引入林业,60年代成为各国主要的森林调查方法。1962年中国开始应用象片进行分层抽样森林调查,现已广泛用于大面积森林清查和森林经理调查工作。

航空象片在森林分层抽样工作中主要用于:提供林区资源概况,辅助森林调查方案设计;制订判读分层方案,确定分层因子和级距;判读区划分层小班;编制森林分层平面图;提供各层副总体的面积,辅助地面样地的定位等方面。由于航空象片上客观反映了林区地类和不同森林类型,因此大部分森林群落在象片上可以判读识别,特别是有林地和无林地的边界能够十分准确地区划出来,使象片分层区划有较高的准确性,缩小了层内变动,提高了抽样效率。

森林分层抽样必须获得各层副总体准确的面积数据。面积误差可以抵消由于分层缩小变动的效果。一般情况下,优势层的面积发生10%的误差时,即可能使分层抽样的精度低于地面简单随机抽样。因此,层的区划和面积计算应力求准确。航空象片分层抽样技术在提供各层面积信息的方法上分成图的分层抽样和不成图的分层抽样两大类型。

成图的分层抽样

由象片分层区划成图,通过分层平面图提供各层面积数据的方法。又称小班分层抽样,简称为象片分层抽样。象片分层抽样方法又可分为各层样本独立的分层抽样和各层样本不独立的分层抽样两类。象片成图提供层面积的分层抽样,适合于经营强度较高,林区面积不大而又需要图面资料的森林调查。其主要技术步骤:

象片比例尺和分层因子关系表

分层方案

森林调查的分层方案应当是:①保证各层的平均蓄积量有较大的差异,尽可能扩大层间方差;②分层因子和级距在航片确能判读区分;③符合森林经营小班区划的原则。象片比例尺是确定分层因子的主要因素,象片比例尺和分层因子的关系如表。

超越象片比例尺的条件,过细的分层因子都会造成分层中的错误,扩大层内变动。小比例尺象片最多不要超过5~6层。中比例尺象片一般可以区分15层左右。常用的象片分层因子是:①树种或树种组;②林分龄级或龄组;③林分郁闭度或郁闭度级(疏、中、密④林分高度级。

象片分层判读

按分足方案和成图规范,在航空象片上判读,区划分层小班并标出图面必须反映的地物和各类境界线。小班轮廓必须封闭,并注明所属的层代号。象片分层判读是决定分层效果的重要环节,尽可能使区划的小班内部的森林结构相似,以缩小层内变动。

象片调绘

用于测图的常规调绘工作。对于象片摄影后的地面变化、森林资源变化部分以及分展判读中的遗漏、错判部分应进行检查修正。

分层平面图的编制和面积求算

象片转绘求积,提供各层面积,分别计算各层占总面积的权重。公式如下:

Wh=Ah/A

式中 Whh层权重;Ahh层面积;A为林地总面积。

各层样地数的设计

分层抽样样本大小的汁算和它的分配有不同方法,而比例分配是生产中常用的方案(见分层抽样)。

样地布点

避免直接在航空象片上布点,以防止地形高差对象片比例尺的影响,产生布点中的偏差。在分层平面图的各个层中采用等概抽样方法,取得样地点位,转判到航片上以便野外定位。

样地的测量和统计分析

样地不能跨层设置。样地的层属必须与所在的分层小班一致。例如,在判读为落叶松层的小班中抽取地面样地,样地可能落在白桦林中,样地测树资料全部为白桦林分数据,但它必须归入落叶松层中统计。出现这种情况是由于判读分层错误,或因为白桦林分面积过小,包含在落叶松林分之中,不足以单独区划分层小班、以上两种情况都说明判读为落叶松的层属中客观地有白桦林分,必须反映客观。不以样地实际林分分反,而按小班分层。

各层样本不独立的分层抽样

样本在总体中统一布设,各层间不独立的分层抽样方法在生产中采用较广,这种方法可以简化抽样工作特点是:总体中一次抽取系统样本,各层不独立抽取;样本相当于分层比例抽样;样地布设后跨层不移动;产生不独立的误差项。不独立的分层抽样分为两个类型:①先抽样后分层:总体内系统抽样,样地测设时不知它属哪一层,抽样后进行航片判读区划分层、成图,提供准确的各层面积。这种方法适合于资料较少的新开发林区、在系统抽样的外业工作中了解林区资源特点,研究航片判读特征,以及收集分配方案设计所需的各项信息。它将预备调查和样地调查两次外业结合成为一次,将各层布点结合成一次布点,可节省内外业工作量。后分层的弊病是:容易产生跨层样地;面积小,但十分重要的层可能出现样地不足:加大了误差。②分层后不独立取样:即在分层平面图上统一系统布点的分层抽样方法。跨层样点应向层内移动;重要而面积小的层应随机辅设样点。统计分析时应注意层间不独立的误差项,即方差计算式的后项:

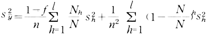
航空象片分层抽样

式中 为样本平均值方差;f为抽样比;N为总体单元数Nhh层副总体单元数;n为样本单元数;S2hh展方差;l为层数。当各层方差S2h相差不大,而样本较大时,层间样不独立的误差项值很小,精度相当于后抽样的常规分层抽样。

不成图的分层抽样

通过象片样点,用代数抽样的方法提供各层面积数据,即是在各层面积和蓄积两个不同的相中均采用抽样方法的分层抽样。又称双重分层抽样或样地分层抽样。不成图,各层面积采用象片上设置的大量样点按成数抽样方法提供。地面样地用于测定蓄积,它的层属和样地实际森林类型一致。运用于林区森林类型和其他地类插花严重的地区,不需成图的大面积森林资源调查。

对航空象片分层抽样的评价:①象片分层抽样是有效的常用调查技术,应作为一种手段与其他方法如航空象片分层抽样回归估计联合运用。②象片分层抽样只发挥了航空象片的区划分层、成图和求积作用,没能充分发挥航空象片测树判读提高蓄积估计的辅助作用,对于具备大比例尺航空象片的林区,应在分层的基础上,采用双重抽样方法设置象片样地,判读蓄积量。③象片分层因子是分层小班区划的条件。缩小蓄积量的变动和满足经营要求的区划两者有时难于兼顾,对于森林经理调查中的分层抽样宁可损失精度,也应保证经营要求的区划原则。④防止偏差是分层抽样的重要原则。石崖、陡坡等难于测设的地段往往给抽样估测带来偏差。象片分层工作中应该尽可能在立体镜下,从总体中剔除这些不可及部分,以免破坏等概取样的原则,造成偏差。

立地类型质量评价分析流程图