登录| 注册    
收藏  点赞 

航空象片判读与回归估计

图上,并求算各小班面积。③判读蓄积量应用小班判读因子,通过航空蓄积量表或其他方法推算小班的单位面积蓄积量。由小班面积求出总蓄积量,作为航片判读量。④确定实测小班数需实测的小班数(n),取决于总体小班蓄积量的变动系数(c),判读和实测蓄积量的预估相关系数(r),总体蓄积量的允许误差百分数(E),以及可靠性指标(t)。 航空象片判读与回归估计 为满足建立回归方程的目的,实测小班数不应小于30。

通过样本建立判读和实测值之间的回归方程修正全面判读值,估计森林总体的调查方法。实质是通过回归方法修正由于判读人员或数表以及其他原因所产生的系统误差,使总体判读值接近实测值。适用于要求编制森林分布图,必须提供小班林分信息,具有较新航空象片,判读人员训练有素的林区。要求象片全面覆盖;比例尺较大,可以进行定量判读;象片反映林区现状等。中国在20世纪70年代初,采用这种方法对东北等边远地区进行森林经理调查。

方法

以总体蓄积量为目的的判读回归森林调查的主要技术环节是:

①小班区划判读

判读回归调查的基本单元是森林小班。需要在航空象片有效面积内判读区划,完成森林总体小班判读工作。小班区划标准取决于调查和经营强度。小班按规定编号,累计单元数,并在立体镜观察下,判读小班树种、林分高、郁闭度龄组等因子,取得森林经营和蓄积量计算等方面必需的信息。

②转绘成图和面积求算

按常规方法将象片上的小班轮廓有控制地转绘到基本图上,并求算各小班面积。

③判读蓄积量

应用小班判读因子,通过航空蓄积量表或其他方法推算小班的单位面积蓄积量。由小班面积求出总蓄积量,作为航片判读量。

④确定实测小班数

需实测的小班数(n),取决于总体小班蓄积量的变动系数(c),判读和实测蓄积量的预估相关系数(r),总体蓄积量的允许误差百分数(E),以及可靠性指标(t)。

航空象片判读与回归估计

为满足建立回归方程的目的,实测小班数不应小于30。同时,为防止上式中各项数据估计偏低,计算的实测小班数应加大10%。

⑤小班的抽取和测定

采取等概率抽样,不论小班面积大小,统一按编号抽取。抽中小班用象片定位,进行小班实测,取得实测蓄积量。

⑥建立回归方程

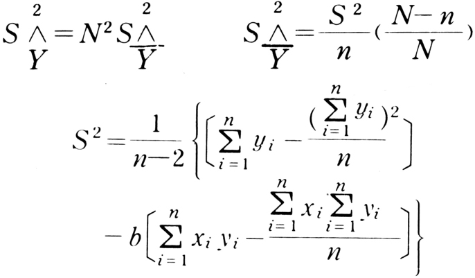
样本测设后,判读和实测利用成对值建立回归方程,并计算方差和相关系数。

⑦森林蓄积量的回归估计

由各小班判读蓄积量累计得到森林总体的总判读蓄积量x和平均每个小班的判读蓄积量,将它代入回归方程,求得森林总体平均蓄积量的估计值。

航空象片判读与回归估计

式中 为样本中各实测小班平均蓄积量;为相应的判读蓄积量;∧/Y为森林总体平均蓄积量的估计值。总蓄积量估计值的方差为

航空象片判读与回归估计

式中 xi为第i个小班判读蓄积量;yi为相应的实测蓄积量。

此外,回归方程还可以用于对单个小班蓄积量进行修正,以消除判读值的系统误差。

评价

航空象片判读与回归估计,能够发挥航片的定量作用,以增加室内判读工作,减少野外小班调查工作量。效率的关键在于判读人员的技术素质和稳定程度,反映为判读值和地面实测值间的相关紧密程度,相关系数愈高,判读回归方法的效益愈显著。航片判读回归发挥了象片判读性能,用于区划、成图和提供全部小班信息,将野外工作压缩到样本范围内,提高了小班调查工作的效率。林区小班愈多,回归方法效率愈高。回归估计方法只能保证总体蓄积量估计精度,适用于经营强度不高的森林总体。有经验的判读人员可以保证判读与实测的相关系数达到0.85以上,效率显著。判读回归主要技术问题是:①小班面积差异大,小班蓄积量的差异更大,以致总体变动系数的数值巨大,需依靠较高的相关系数来控制实测小班数。因此,判读人员的素质是技术关键。②需要全面判读、区划和成图,内业工作量较大。③抽中面积过大的小班难以全林实测。④应用回归方程对单个小班判读值的修正,常带来较大的误差。特别是回归线两端的小班,即蓄积量小和大的两种极端小班,难以采用回归修正。