登录| 注册    
收藏  点赞 

航空象片数量化林分蓄积量表

以航空象片判读的定量和定性因子为自变量,以实测的每单位面积蓄积量为因变量,用数量化方法编制的表。森林蓄积量变化决定于许多因子,如树种、林龄、平均高、郁闭度、土壤、坡度、坡向和坡位等。它们包括定量因子和定性因子。数量化理论出现前,仅用定量因子,如平均高等为自变量编制林分蓄积量表。

以航空象片判读的定量和定性因子为自变量,以实测的每单位面积蓄积量为因变量,用数量化方法编制的表。

森林蓄积量变化决定于许多因子,如树种、林龄平均高郁闭度、土壤、坡度、坡向和坡位等。它们包括定量因子和定性因子。数量化理论出现前,仅用定量因子,如平均高等为自变量编制林分蓄积量表。在20世纪50年代出现了数量化理论,根据这一理论不仅可以应用定量因子,而且可以利用与蓄积量有密切关系的定性因子编制林分蓄积量表,从而可更全面地研究蓄积量与它们之间的联系和规律性。随着数量化理论的发展,在60年代出现了航空象片数量化林分蓄积量表。日本大贯仁人利用数量化理论Ⅰ编制了用于直接估计材积的航空象片材积表。中国70年代编制了西南、东北等地区航空象片数量化林分蓄积量表。在森林调查中用这种表确定小班或林分的蓄积量,可以充分发挥象片的潜力,提高调查的精度和速度,取得良好效果。

航空象片数量化林分蓄积量表的编制一般分七个步骤进行:

自变量和因变量的确定

为便于表的使用,常以林分或小班的每公顷蓄积量为因变量。自变量选定的原则是:符合生产要求;与蓄积量有密切关系;象片上易判读的因子。根据这些原则在比例尺1∶10000~1∶25000的象片上,常以判读的林分类型、优势树种、林龄、树冠直径、郁闭度、海拔高、坡度、坡向、坡位和株数等因子为自变量。它们包括林分因子和立地因子。每个因子一般区分为2~6个等级(表1)。

表1 各因子等级及其级距

样本单元数确定

编表要有足够的数据,样本单元数不能取得太少,而在取样上要避免有所偏重。不同因子的每一等级内至少要有两个以上的样本单元。根据经验,一般应取的样本单数n≥2pp是所有自变量因子区分的等级数(类目)总和。即

航空象片数量化林分蓄积量表

式中 rj为第j个自变量区分等级数;m为自变量的个数。

样本单元数的抽取和观测

因变量是林分或小班每公顷的实测蓄积量,每个抽取的林分或小班就是一个样本单元。根据确定的样本单元数,在编表地区随机或系统抽取,才能保证样本有广泛的代表性。抽中的林分或小班现地定位后,把它们的轮廓标定在象片上,进行现地实测。伐开林分或小班周界后,进行每木检尺,测定优势木高、平均高、郁闭度、林龄、株数,以及最大树高的树冠直径、树高、胸径等因子,计算出每公顷材积做为因变量。

自变量因子的判读

自变量因子应在现地实测前在室内判读。凡被抽中的林分或小班在航空象片上判读出所确定的全部自变量因子。在航空象片的立体影象中,根据冠形、大小、色调、阴影和立地条件等综合判读林分类型、树种和树种组成,由组成系数确定优势树种。根据影象颗粒大小和树高等因素判读龄组。树高一般是用视差法或立体模型法确定。郁闭度用网点法测定,在立体影象中,查数落在树冠上和空地上点数,汁算落在树冠上点的成数,即为所测林分郁闭度。用测微尺模片,在象片上量测与辐射线成垂直方向的树冠直径,可以消除投影差。在每个林分内观测3~5株最大树的树冠直径,以其平均值做为林分的平均树冠直径。坡度的量测一般是用坡度测定板测定林分或小班的平均坡度。坡向、坡位和海拔高在立体影象中观测或由地形图上查定。

表的编制

象片数量化林分蓄积量一般是根据数量化理论Ⅰ编制。自变量中有定量因子和定性因子。根据自变量x1x2xm对因变量y进行预测。设第1个自变量因子x1区分r1个等级(类目)C11C12,…C1r1,第2个因子(项目)x2r2的等级C21C22,…C2r2,…,第m个因子xmrm个等级Cm1Cm2,…,Cmrm,总共有个等级。假定观测n个样本单元,观测结果记入项目、类目反应表(表2)。

表2中yi是因变量(基准变量)y在第i个样本单元上的观测值;δijk)(i=1,2,…nj=1,2,…mk=1,2,…rj)称为第j个因子(项目)第k个等级(类目)在第i个样本单元中的反应。对某一等级来说,在任一样本单元上或者有反应或者无反应。如果规定“有反应”取值为1,“无反应”取值为0,可用下式确定:

表2 项目、类目反应表

航空象片数量化林分蓄积量表

用(2)式可以完成自变量各因子等级的数量化。

因变量yi与各因子、等级的反应表δijk)之间有下列线性关系:

航空象片数量化林分蓄积量表

i=1,2,…n i=1,2,……n

其中:bik仅依赖于j因子k级的系数;εi是第i次抽中的随机误差。

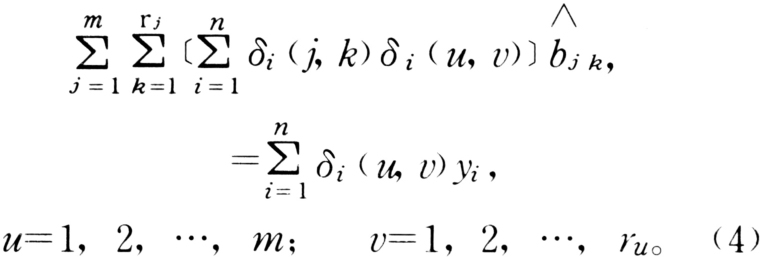
用最小二乘法原理可以求得bjk的估计值,根据求极值条件使其离差平方和最小,得出其正则方程组为

航空象片数量化林分蓄积量表

由正则方程组(4)求出bjk估计值后,则可得出下列预测方程:

航空象片数量化林分蓄积量表

δjk)表示任一待制样本点在j因子k等级的反应。当取得一样本点时,可由其反应δjk)按公式(5)标出,做为对依变量y预测值。有时称bjkj因子k等级的得分。用表格形式表达预测方程称之为因子(项目)等级(类目)得分表。

将方程式(5)展开排列成表则得航空象片数量化林分蓄积表(表3)。

表3 中国甘肃南部双义林场林分数量化蓄积量表

精度指标:复相关(R)=0.89,剩余标准差27.08,精度95.9%。

精度计算

反映航空象片数量化林分蓄积量表精度的主要指标有复相关系数、简相关系数、偏相关系数等。

①复相关系数

求得的估计值之后,由

航空象片数量化林分蓄积量表

进行预测时,精度(表的精度)可用复相关系数r来衡量,可按下式计算:

航空象片数量化林分蓄积量表

式中 r为复相关系数;为回归平方和;

为总平方和。根据经验,复相关系数大于0.85时,关系才算密切,预测效果才算好。

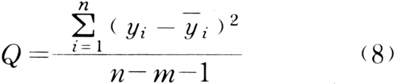
衡量预测精度的另一个指标是剩余平方和(Q)。

航空象片数量化林分蓄积量表

它的值愈小,精度愈高,对于预测问题,用这个指标比复相关系数更为妥当。

②简相关系数

它表示各因子间的相关紧密程度。用下式计算:

航空象片数量化林分蓄积量表

其方法是求协方差(Sij)矩阵。各变量的离差平方和(SiiSjj),m+1个变量之间的相关矩阵为

航空象片数量化林分蓄积量表

式中 rij为各因子之间的简相关系数;ij为1,2,…,mm+1。

③偏相关系数

它是在其他m-1个变量已给定情况下,第j个变量与y的相关系数。

航空象片数量化林分蓄积量表

式中 Ryxj为偏相关系数;Qm-1为表示m个变量中去掉任一变量后所得的残差平方和;Qm为总的残差平方和。以rij表示R的逆矩阵R-1中的(ij)元素,则因变量y与第j个因子间的样本偏相关系数为

航空象片数量化林分蓄积量表

公式(7)中的复相关系数亦可用下式计算:

航空象片数量化林分蓄积量表

适用性检查

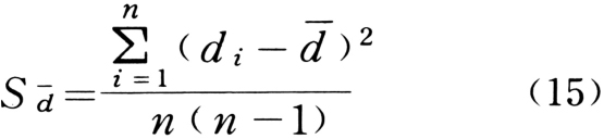
表的精度和其适用性应根据下列指标检查:①复相关系数应在0.85以上;②相对误差小于10%;③现地另抽出30个以下的林分或小班,现地实测每公顷蓄积,并进行象片测树判读,查表求出它们的估计值之差,其平均值为

航空象片数量化林分蓄积量表

式中di为第i林分或小班的实测值与估计值之差;n为样本单元数。

航空象片数量化林分蓄积量表

如有

航空象片数量化林分蓄积量表

此式成立时,就认为n个样本是来自总体单元数N的,因此保证了表的应用合理性。