登录| 注册    
收藏  点赞 

航空象片双重抽样

在象片和地面两个不同的相中取样,组成两重样本,对总体进行估计的抽样调查技术。又称两相抽样(Two-phase Sampling)。两重样本中,抽自总体、设置在象片上的大量象片样地称为第一重样本(或双重样本中的大样本),用以取得判读值。在第一重样本中随机抽出的一部分进行地面测定的象片样地,称为地面样地,用以取得目的因子的实测值,是双重样本中的第二重样本。

在象片和地面两个不同的相中取样,组成两重样本,对总体进行估计的抽样调查技术。又称两相抽样(Two-phase Sampling)。两重样本中,抽自总体、设置在象片上的大量象片样地称为第一重样本(或双重样本中的大样本),用以取得判读值。在第一重样本中随机抽出的一部分进行地面测定的象片样地,称为地面样地,用以取得目的因子的实测值,是双重样本中的第二重样本。航空象片双重抽样的特点是:在两个相中均采用抽样;第二重样本取自第一重样本。它能充分发挥航空象片的判读性能,可在室内完成第一重样本的测设工作,成本低,效率高,能够大量设置。林业调查野外测设样地比较困难,采用象片双重抽样,用较多的象片样地获得判读信息,可以减少地面样地。

双重抽样的理论发展于20世纪40年代。50年代中航空象片森林判读技术已趋成熟,形成了航空象片双重抽样森林调查方法。60年代成为美国、加拿大等国家的常用森林调查技术。中国在60年代初开始用于大面积森林资源清查工作。

方法

象片双重抽样取决于象片判读因子和实测目的因子之间的关系,因此要求航空象片比例尺较大,能够进行定量判读。地面样地的定位应与它相应的象片样地配准,以取得同一样地的判读、实测成对值。一重样本中,采用的判读因子应和调查目的因子紧密相关。判读人员的技术应稳定,判读方法应一致。森林调查中常采用象片样地判读蓄积量和地面样地实测蓄积量作为双重样本值。其主要技术和步骤是:

象片双重抽样方法效率的估计

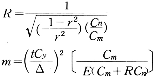
象片双重抽样的效率取决于判读值与实测值之间的相关紧密程度,相关系数(r)愈高,效率愈高。同时,也取决于地面样地实测成本(Cm)和象片样地的判读成本(Cn)的比值,比值愈大,双重抽样效率愈高。相对效率E是在总成本相同的基础上,反映地面简单随机抽样和象片双重抽样的方差比。E值愈大,效率愈高。方案设计时,可概算相对效率(E)。

航空象片双重抽样

当E<1时,不宜采用象片双重抽样,因其效率不及常规的地面简单随机抽样。

双重样本大小的计算

求最优的双重样本比值(R)和地面样地数(m)。

航空象片双重抽样

式中 Δ为目的因子调查允许误差百分数;Cy为目的因子预估变动系数。应抽取的象片样地数为nn=mR

象片样地的测设

象片样地要求在总体中随机布设,常采用随机式系统方法抽取。为避免由于地形引起的象片比例尺变化而导致样本产生偏差,第一重样本应按要求的样地数先在地形图或平面图上布设,然后才转到航空象片上。对于高差较大的林区,要计算每个象片样地所在部位的高程和象片比例尺,以便进行量测判读。判读人员应通过集训,统一象片样地林分因子的判读方法(见航空象片森林判读)。应用典型样片或航空蓄积量表等方法判读测算象片样地的判读蓄积量。

地面样地的测设

象片样地中,随机或系统抽出,要求设置的地面样地数,利用地形图或航空象片定位设置。地面样地采用常规测树方法进行每木检尺计算蓄积量。

双重样本估测总体

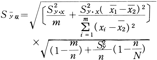
常采用双重回归估计方法对总体及其抽样误差作出估计。回归估计方程由第二重样本中判读和实测成对值建立。总体平均蓄积量的双重回归估计值由下式求算:

航空象片双重抽样

式中 为第二重样本地面样地的平均值;为第二重样中各样地平均判读值;为第一重大样本平均判读值;b为第二重样本成对值求算的回归系数。

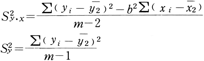
双重回归估计值的误差来自第一重样本的抽样误差和回归估计误差两个方面。其标准误差为

航空象片双重抽样

式中的回归方差S2y和目的因子方差s5分别按下式求算:

航空象片双重抽样

式中 yi为第二重样本中第i个样地的实测值;xi为第二重样本中第i个样地的判读值。

当第二重样本中判读和实测成对值呈明显的线性并接近通过坐标原点时,才可以采用双重比估计方法代替上述双重回归估计方法。

评价

象片双重抽样的主要技术问题是:两重样本难于配准;判读人员水平不齐;已有的象片比例尺和量测性能达不到技术要求等。为提高判读值和实测值间的相关关系,可采用以下措施:①组织大比例尺低空抽样摄影,提高象片判读和量测性能;②将地面样地设成群团状,以解决两重样本间配准难的问题;③研究编制航空蓄积量表,改善判读方法和设备,提高判读质量。

航空象片双重抽样