登录| 注册    
收藏  点赞 

火险预报

根据有关天气因素、可燃物状况和火源等,对森林火灾发生、发展所进行的预报。通常用火险等级(或指标)表示。各种火险预报方法都有它规定的等级表,包括火险指标、火险等级、管理措施三个部分。火险预报是一项重要的技术措施,它不单预报林火能否发生,同时还对已发生的林火的蔓延和强度进行定量预测,为林区防火、灭火和林火管理等工作提供科学依据。火险预报,最初是从单因子预报开始的,后逐渐由单因子发展到多因子。

根据有关天气因素、可燃物状况和火源等,对森林火灾发生、发展所进行的预报。通常用火险等级(或指标)表示。各种火险预报方法都有它规定的等级表,包括火险指标、火险等级、管理措施三个部分。火险预报是一项重要的技术措施,它不单预报林火能否发生,同时还对已发生的林火的蔓延和强度进行定量预测,为林区防火、灭火和林火管理等工作提供科学依据。

火险预报,最初是从单因子预报开始的,后逐渐由单因子发展到多因子。1928年加拿大赖特(J.G.Wright)用相对湿度进行火险天气预报,1936年美国吉斯伯恩(H.T.Gisborne)提出多因子预报方法,1944年苏联涅斯捷罗夫(В.Г.Нестеров)提出多因子的综合指标法。1950年后,研究和使用火险预报的国家愈来愈多,中国研究了双指标等方法。1970年以后,美国和加拿大相继提出了国家火险级系统,适合全国性的大区预报。80年代初中国的火险预报已开始向林火发生和林火行为的综合预报发展。

火险预报一般方法

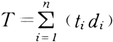
这类方法较多,典型的有:①综合指标法:根据无雨期间的空气饱和差、气温及雨量多少的综合影响,预测森林的燃烧性,确定相应的指标。由下雨后若干天内,空气温度和饱和差乘积之和决定,计算式如下:

火险预报

式中T为综合指标;tidi分别为降水后第i天的空气温度(0℃)、水汽饱和差(mb)。计算指标时,须在每天13时,测定空气温度和饱和差的变化,并根据每天的降水量进行修改。如当日的降水量超过2毫米时,则取消以前积累的综合指标值;降水量大于5毫米以上时,则将降雨后5天内的综合指标值减去1/4,然后累积,即能得出火灾危险天气等级的综合指标。②实效湿度法:森林可燃物的易燃程度,取决于含水量大小,而可燃物的含水量,则受空气湿度的影响,它们之间总是趋于平衡。因此,可判断空气湿度对可燃物含水量的影响,以估计燃烧性。其计算公式如下:

实效湿度(%)=(1-a)(a0h0+a1h1+a2h2……+anhn

式中 a为系数,一般取值0.5;h0h1,h2,……hn分别为当日,前一天,前二天,……前n天的平均相对湿度。实效湿度与燃烧性关系由下表查得。③双指标法:着火指标由每天的最小湿度与最高气温来确定,火的蔓延指标由实效湿度和最大风速来确定。根据着火指标(I)与蔓延指标(S)即能确定森林火灾危险等级。其计算公式如下:

I=A1e-B1H+A2TB2+C1

S=A3e-B3R+A4V4+C2

式中 H为最小湿度(%);T为最高温度(℃);R为实效湿度(%);V为最大风速(米/秒);C1C2均为统计常数。根据当日13时上述气象要素观测值,用计算检索图即可查出当日的着火指标与蔓延指标。两个指标变化范围都是0~100。危险级从“不燃”到“强燃”,从“小蔓延”到“强烈蔓延”,都分为五级。

实效湿度与燃烧关系表

美国国家火险等级系统

简称NFDRS。该火险等级系统由四种指标组成,即:①人为火发生指标(MCDI):即可能发生人为火危险的数值估算,它根据某一火险级内人为火源情况和着火组分(IC)决定;②雷击火发生指标(LOI):即可能发生雷击火危险的数值估算,它根据着火组分(IC)和闪电危险性(或称雷暴活动)得出;③燃烧指标(BI):由蔓延组成(SC)和能量释放组分(ERC)计算得出,它是国家火险等级中的主要内容,与林火强度和火焰长度相互关联,反映着林火的行为特征;④火负荷指标(FLI):即国家火险等级的最终指标,表示防火部门对控制区有可能发生的林火需要扑火力量的基本准备。

美国国家火险等级系统划分的可燃物类型有20类,要求输入的火险因素也较多。林火天气站除需要测定13~15时空气温度和湿度、风速、云量,以及24小时最高最低湿度和相对湿度外,还需记录降水持续时间、可燃物湿度棒含水量和闪电活动等。通过林火信息检索系统(AFFIRRS)火险级可以由计算机处理,也可以通过查表计算。

加拿大森林火灾天气指标

指标系统由三个湿度码、两个中间指标(最初蔓延指标、调整后的落叶层湿度码)形成火灾天气指标(见图)。三个湿度码反映三种可燃物类型的水分变化:细小可燃物湿度码(FFMC)反映地表枯枝落叶层在天气要素的影响下的干湿变化;下层落叶层湿度码(DMC)反映下层落叶层(具有松散有机物结构的可燃物层)的水分变化;干旱码(DC)反映深层落叶层(由细密的有机物组成的可燃物)含水量变化。三个湿度码在计算时除计入当日天气要素外,还要代入昨日的码值。在三个码值的基础上,加上风速后形成两个中间指标,然后再组合成最终的指标——林火天气指标(FWI)。

加拿大林火天气指标系统图

除了上述的几种火险预报方法外,澳大利亚、法国、民主德国、日本等也都有适合本国特点的火险预报方法。