登录| 注册    
收藏  点赞 

经济成熟

树木或林分生长达到经济收益最高时的状态。这时的年龄,叫经济成熟龄。计算经济成熟龄的方法主要有以下几种:①森林总收益以年平均收入最多的年龄作为成熟龄。这种方法不考虑费用开支。用公式表示如下: 经济成熟 式中 E为平均货币总收入;A为主伐收入,ΣD为各次间伐收入合计;u为年龄。②森林纯收益由森林总收入中减去支出的费用,就是森林纯收入(纯收益)。当纯收入最大时的年龄就是森林纯收益最高的成熟龄。

树木或林分生长达到经济收益最高时的状态。这时的年龄,叫经济成熟龄。计算经济成熟龄的方法主要有以下几种:

①森林总收益

以年平均收入最多的年龄作为成熟龄。这种方法不考虑费用开支。用公式表示如下:

经济成熟

式中 E为平均货币总收入;A为主伐收入,ΣD为各次间伐收入合计;u为年龄。

②森林纯收益

由森林总收入中减去支出的费用,就是森林纯收入(纯收益)。当纯收入最大时的年龄就是森林纯收益最高的成熟龄。计算森林纯收益公式如下:

经济成熟

式中 rw为森林纯收入;C为造林费;v为管理费。由于计算过程中不论收入或支出,都没有考虑到利息;林业的培育时期特别长,收入和支出的时期虽然不同,但都看成是同一时间的货币价值。因此,根据这个公式计算结果,往往形成高伐期。

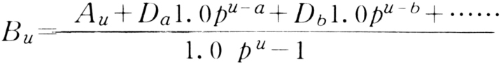
③土地纯收益

又叫土地期望价。当土地永远作为林地,并在永续作业的前提下,按下列公式计算,以其结果最大的年龄作为成熟龄。

经济成熟

经济成熟

换算成连年收益形式时为B×0.0p

式中 Bu为土地期望价;p为复利率;ab…为间伐年度;其他符号同前。此法从无林地造林开始,故林地的纯收益假定每个轮伐期(u)都相同。为资本主义国家中一个比较重要的经济成熟龄。又称理财成熟龄。但往往形成短伐期。

④收益率

以地价(B)和法正蓄积价(N)的合计作为森林资本,按下式计算结果最大时的年龄为成熟龄。过去也曾叫做林利最高的成熟龄。

经济成熟

式中 r为收益率;uB+N为一个法正林包括u个年龄(或龄级)及u公顷地价和整个法正蓄积价。但确定方法很多,也比较困难,所得结果往往是过短的轮伐期

⑤社会公益经济成熟龄

把森林的公益作用的无形价值(ΣS)对成熟龄的影响考虑进去,当按下式计算结果最大时为社会公益经济成熟龄。

经济成熟

其中森林的各种无形价值(ΣS)要单独进行公益作用的计量评价。但是,森林的公益价值的计量,目前学术界无论是其理论基础的认识和研究方法都还莫衷一是。

⑥劳动生产率

以投入每单位劳动量的纯收益最大的年龄作为成熟龄。用公式表示如下:

经济成熟

式中 A为用市场价表示的主伐收益;ΣD′为用市场价表示的间伐收获量合计;V1为材料设备购置费用;A为林道、集材机等固定设备的折旧费;Tu)为纯劳动时间总和;N为单位时间内所生产的纯收益。本法是以每单位劳动时间所创造的最大价值为基础。由于林业劳动力主要集中在幼龄林,劳动量并不随伐期年数按比例增加,故结果往往偏高。

⑦指率

即连年森林利率(一年价值生长与生产资本相比的百分率)。设m年生林木价为A,1年后的林木价为A+1,地价为B,管理资本为V,则其连年森林利率即指率(w)为

经济成熟

它的变化性质,与连年生长量相似,随着年龄而增大,到达高峰后又下降。指率(w)与林业利率(P)相比,可以判断林分是否到达成熟龄。从下图看出:当wp时未到成熟龄;wP时已过成熟龄w=p时到成熟龄。以往,林分经济法中确定某林分是否到达成熟龄即以此为准。

林业利率与指率关系图

⑧增值指数

是指率的变型,用下式求算:

经济成熟

式中 g为增值指数;A为现在林分的价值;A+为未来林分的价值;Mm年时的单位面积林分蓄积量;pn年的贴现率。当g>0时,不能采伐,继续培育有盈利;g<0时,应及时采伐,若继续经营会造成亏损,并从负值最大的林分开始采伐;g=0时,采伐与不采均可。此法适于中期采伐规划,为当今一些资本家如美国惠好公司所采用。

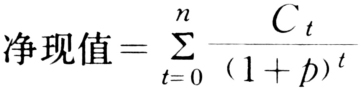
⑨净现值(NPV/或PNW)

它不仅考虑资金的时间,而且还考虑将来的成本和收入。公式如下:

经济成熟

式中 C为在周期t内净(纯)现金流量;n为年数;p为利率。以净现值最大时的年龄为成熟龄。与土地期望价相同,利率越高,成熟龄愈短。

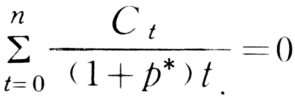
⑩内部收益率(IRR)

即当能使一次工程项目的净现值等于零时的贴现率(%)。以内部收益率最大时为成熟。

经济成熟

p*为当净现值等于零时的利率。找到能满足此方程的p*值即可确定内部收益率,X=1/(1+p*)。p*通过迭代法求得。计算结果往往形成短伐期。