登录| 注册    
收藏  点赞 

立木材积测定

测定树高、直径,按一定数学公式求算立木主干体积的工作。树木伐倒前统称立木,有活立木和枯立木之分。所测定的立木材积为带皮材积,以立方米表示。现阶段由于立木测定工具的限制,对立木状态下的树干长和任意部位直径的测量远不如伐倒木方便。因而立木材积测定的理论不得不建立在以胸高形数为中心的基础之上(V=f1.3·g1.3·h)

测定树高、直径,按一定数学公式求算立木主干体积的工作。树木伐倒前统称立木,有活立木和枯立木之分。所测定的立木材积为带皮材积,以立方米表示。现阶段由于立木测定工具的限制,对立木状态下的树干长和任意部位直径的测量远不如伐倒木方便。因而立木材积测定的理论不得不建立在以胸高形数为中心的基础之上(V=f1.3·g1.3·h),从而产生立木材积三要素——胸高形数(f1.3)、胸高断面积(g1.3)和树高(h),其材积测定常采用经验公式法。然而,自20世纪50年代以来,随着上部直径测定仪的发展,已为立木材积测定采用伐倒木材积测定的基本方法提供了条件。

立木材积近似计算法

建立在形数理论上的材积测算法。其测定精度通常比伐倒木低,一般只能作为单株立木材积的近似计算。

平均实验形数法

以实验形数代替胸高形数,并取实测树高加3米为计算树高的立木求积法。

V=g1.3·(h+3)·f9

式中 V为立木材积;h为树高;g1.3为胸高断面积;f9为实验形数。

丹琴略算

法取胸高形数等于0.51,树高等于25米的立木求积法。

V=0.001d1.32

式中 V为立木材积;d1.3为胸径。当树高为25~30米时,所计算的材积较为可靠。

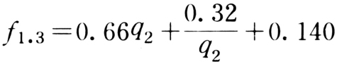
形率法

测出胸径(d1.3),树高(h),中央直径、(d/2)计算形率(q2)按希费尔公式

立木材积测定

算出胸高形数,再按公式V=f1.3·g1.3·h计算立木材积。

立木区分求积法

利用上部直径测定仪等,将伐倒木求积理论应用于立木材积测定的方法。这类方法往往由于树冠低下,枝条茂密,使测定仪难于应用而受到限制。

等长区分求积法

将树干区分为若干等长段,利用性能良好的上部直径测定仪分别测定各段直径,按圆柱体公式计算出各段材积。树冠内无法测定直径的树干梢部,不论其长短,一律作梢头木处理,按圆锥体公式计算材积。各段材积的合计即为立木材积。这种方法测算手续复杂,但精度较高。

等直径差区分求积法

1954年美国格罗森堡(L.R.Grosenbaugh)提出的一种内业计算简便的立木材积实测方法。又称累高法。区分段的长度不受限制,只要求区分段大头直径与小头直径的差为常数(T可取2、3、4厘米等),按照递减的树干直径的等差级数对树干进行区分,并测得各区分段长度,忽略梢头材积不计,则立木材积为

立木材积测定

式中 n为区分段数;T为直径差;l为第i区分段的长度;d为第i区分段的小头直径;K为树干形状系数,抛物线体K=2,圆锥体K=3,一般取K=3。

由上式可以导出等直径差区分求积法的树干材积的一般计算公式

立木材积测定

式中 A=πT/20000;C=πT/40000Kh′可由递推公式求出:h′i=h′-1+hi=1,2,……n。其中h为自树下部向上第i区分段小头以下,各区分段累加高度h′为累计高,是h的再次逐段累计值。

望高法

1855年德国普莱斯勒(M.R.Pressler)提出的单株立木材积测定法。树干上部直径等于胸径1/2处叫望点,自地面到望点的高度叫望高。测出胸径和望高,按下式便可算出立木材积。

立木材积测定

式中 g1.3为胸高断面积;h为望高。此法平均误差在±5%之间。望高法适用于主干明显而树冠较高且稀疏的树木。林分速测镜是确定望高点位置和测定望高比较方便的仪器。

此外,立木材积还可通过测定易测因子胸径、树高等,从立木材积表中查得。但使用时要注意材积表是为求材积合计和平均材积而编的,多用于整群体抽样样木的材积测定,若用来求单株木材积会产生相当大的误差。

立木度图