登录| 注册    
收藏  点赞 

两阶和多阶抽样

按一定原则划分总体为若干阶次,依次逐阶抽取样本估计总体的方法。第一阶次样本为一阶样本,第二阶次样本为二阶样本,依次类推。当抽样过程停留在两阶,用两阶样本估计总体时,称两阶抽样(即两阶段抽样),又称两级抽样或副次抽样。当抽样过程继续到三阶或更多阶次,用多阶样本估计总体时,称多阶抽样,又称多级抽样(见图)。 四阶抽样模式图 历史沿革多阶抽样美国应用较早。

按一定原则划分总体为若干阶次,依次逐阶抽取样本估计总体的方法。第一阶次样本为一阶样本,第二阶次样本为二阶样本,依次类推。当抽样过程停留在两阶,用两阶样本估计总体时,称两阶抽样(即两阶段抽样),又称两级抽样或副次抽样。当抽样过程继续到三阶或更多阶次,用多阶样本估计总体时,称多阶抽样,又称多级抽样(见图)。

四阶抽样模式图

历史沿革

多阶抽样美国应用较早。1969年底,应用阿波罗卫星取得的林区图象,结合各种比例尺林业航空摄影,配合地面少量样地,进行了五阶抽样(从第一阶至第四阶是遥感图象判读区划的单元,第五阶单元是地面上测设的少量样地),并初获成功。20世纪70年代以来,东南亚和非洲一些发展中国家,广泛采用两阶或多阶抽样方法进行热带森林调查,取得了良好的效果。中国于1972年在河北省围场县龙头山林场开始两阶抽样试点。1973年在黑龙江省吉文林业局进行三阶抽样试验时,以主要支沟为一阶单元,林班为二阶单元,样地为三阶单元。1982年在云南省西双版纳傣族自治州,利用遥感技术进行了多阶抽样清查森林资源的试验。第一阶利用陆地卫星图象,预估调查有林地面积;第二阶利用航空象片细划有林地类型,并利用已知蓄积量的象片样地,作为航空象片判读蓄积量的标准和工具,进行各个二阶单元森林蓄积量的预估;第三阶是地面样地,现地实测,利用多阶抽样原理,推算总体蓄积量。

基本内容

两阶抽样理论可以类推到三阶等多阶抽样。两阶抽样的一阶样本为抽样的单位(或区划的单元),二阶样本才是测定单位。两阶抽样分为一阶单元大小相等和不等两种。森林调查中后者更有实际意义。一阶单元大小不等的两阶抽样,有按等概抽取与不等概抽取两种。不等概抽取又分为PPS抽样和PPES(概率与预估的大小成比例)抽样,森林调查中常用PPS抽样。两阶抽样的形式不同,组织样本和估计的方法也不同。两阶抽样总体方差分为一阶间方差和一阶内二阶单元间方差。一阶间方差(变动)越小,精度越高。一阶间单元平均数差别小,二阶单元间差别大,是两阶抽样的理想条件。提高精度的途径有:

①合理划分一阶单元,尽量使一阶单元内包含不同的林分类型,缩小一阶间的变动,一阶和分层抽样的“层”划分原则上应相反;②适当增加一阶单元面积,缩小地域间差别,从抽样上,增加二阶样本单元数,减少一阶样本单元数;③采用分层两阶抽样,把分层抽样和两阶抽样结合起来,取其各自优点,利用分层短小一阶间变动,利用两阶中二阶样本和集中性提高工效。

基本方法

以一阶单元大小相等的等概抽取的两阶抽样为例,其工作步骤主要有:①划分一阶单元;②确定二阶和一阶样本单元数;③抽取一阶样本单元;④在基本图上确定一阶样本单元的位置;⑤抽取二阶样本单元;⑥样地的设置与调查;⑥内业分析与计算。

样本单元数的确定

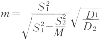
①二阶样本单元数(m)的计算:

两阶和多阶抽样

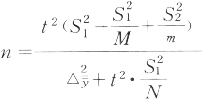
式中 M为二阶单元数;D1为每个一阶单元调查的成本;D2为每个二阶单元调查的成本;S21为一阶方差,S22为二阶方差,可通过预备调查确定。②一阶样本单元数(n)的计算:

两阶和多阶抽样

式中 t为可靠性指标;为绝对误差限;N为一阶单元数。

内业计算

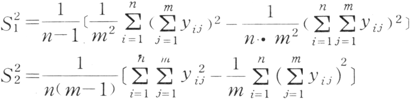
计算内容有样地平均蓄积、一阶方差及二阶方差、总体平均数估计值的方差、总体平均数估计误差限、估计精度、总体蓄积量估计值、总体蓄积量估计区间。

样地平均蓄积:

一阶方差及二阶方差:

两阶和多阶抽样

总体平均数估计值的方差:

两阶和多阶抽样

总体平均数估计误差限:

两阶和多阶抽样

两阶和多阶抽样

估计精度:

P=1-E

总体蓄积量估计值:

两阶和多阶抽样

总体蓄积量估计区间:

两阶和多阶抽样

式中 为二阶样本单元平均数;y为第i个一阶单元第j个二阶单元观测值;为第i个一阶单元内二阶样本单元平均数;f为一阶抽样比;f2为二阶抽样比;为二阶样本平均数的标准误;t为可靠性指标,按自由度(m·n-1)查t布表;A为抽样总体面积;a为样地面积。

评价

两阶和多阶抽样的主要优点是比单阶抽样灵活。它可将调查工作落实在被抽出的少量相对集中的地面样地上,而不用分散到被清查的整个林区,从而大量减少一阶单元间以至二阶、三阶单元之间的非生产性时间的消耗。既可提高抽样效率、降低清查成本,又可对被抽出的少量地面样地进行严密细致的和多资源的调查。但两阶和多阶抽样也有一定缺点,主要是:不利于将资源数据落实到山头地块;对总体进行估计时,要求一阶单元间的变动减至最小;当阶次分得越多,多阶抽样的误差就越大。因此,要注意适用条件和范围。当具备满足需要的图面材料(如卫片、航片、地形图等),可确切划分和确定总体一阶以至前几阶单元的大小和位置时,才适用于以下情况:①要求以较小的工作量,在较短的时间内,取得符合要求精度的,主要是总体的资源数据的全国性或大面积的森林资源清查;②林相简单、森林分布比较一致、总体面积较大的林区;③高山峡谷、地形险峻地区的森林,林内通行困难的热带、亚热带森林,地域辽阔、渺无人烟、近期不能开发的边远原始林区。