登录| 注册    
收藏  点赞 

林分密度

说明林木对其所占空间利用程度的指标。依评定密度的尺度不同,可分为株数密度、立木度、疏密度、郁闭度等。中国通常所称林分密度是指株数密度,即单位面积上的林木株数。林木株数的测定,可以通过标准地每木检尺直接测得,或通过量测平均株行距间接推算求得。在航空象片上量测林木株数一般采用样地法,即把样地面积模板置于象片的使用面积内,借助装有高倍率放大镜的立体镜点数样地上的树冠数。

说明林木对其所占空间利用程度的指标。依评定密度的尺度不同,可分为株数密度、立木度疏密度郁闭度等。中国通常所称林分密度是指株数密度,即单位面积上的林木株数。林木株数的测定,可以通过标准地每木检尺直接测得,或通过量测平均株行距间接推算求得。在航空象片上量测林木株数一般采用样地法,即把样地面积模板置于象片的使用面积内,借助装有高倍率放大镜的立体镜点数样地上的树冠数。由于单位面积的林木株数随年龄可能有很大的变化,因此频数本身就没有多大价值。作为一个有益的林分密度,其株数必须经过林木大小尺寸的限制。林分结构表所列的林分结构就说明了限制大小尺寸的林木株数,但实际应用时过于繁琐。以林木株数为基础的、对同龄林分有效的一个密度尺度,是1933年赖内克(L.H.Reineke)提出的林分密度指数。他提出在密集的林分中,每英亩面积上林木株数的对数与平均直径的对数之间保持着直线的联系。

logN=loga+blogD

式中 N为单位面积株数;D为平均直径;ab为参数。在对14个树种研究分析之后得到一个经验方程,即

logN=-1.605logD+K

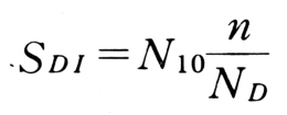
式中 K是依树种而变的系数。根据这个方程确定的各树种的相关直线称为密度基准线。在此直线上,平均直径10英寸时所对应的株数即为密度指数。现实林分的密度指数可按下式计算。

林分密度控制图

式中 S为林分密度指数;N10为平均直径10英寸时的株数;N为平均直径等于D时,基准线上的株数;n为林分的现实株数。与密度指数相类似的相对指数很多,如日本坂口胜美的株数密度比数(以现实林分的株数占最大密度株数的百分数来衡量林分密度)等。

吉良龙夫等人在研究林木自然稀疏时,发现林木平均个体材积或重量与株数密度之间的幂函数关系为

W=KN-

或倒数式关系

1/W=AN+B

式中 W为林木平均个体重量;AB常数。这一关系已成为当前人工林密度管理的基本法则之一。