登录| 注册    
收藏  点赞 

森林连续清查

只设固定样地,后期除复查固定样地外,增设临时样地;⑤前、后期都只有临时样地。所有这些方案都要求总体方差已知,且各套样本相互独立,每套样本都应能提供总体无偏估计值。每个方案的资源现状和资源变化的估计公式列于表1。 表1 两期森林连续清查的抽样估计公式 生长量和消耗量的估计,通常是利用固定样地复测求得数据,按简单随机抽样公式计算。方案1,估计森林蓄积动态的效率最高。

定期对同一对象重复进行可对比的森林调查。简称连查。但通常所指的连查是以数理统计连续抽样技术和固定样地为基础的方法,简称为CFI。连查除必须调查森林资源的现状外,主要目的是了解资源的动态变化。森林动态主要由净增量、生长量和消耗量三个要素构成。通过连查所取得的数据可以用来评价调查间隔期内林业活动的总效果,为制定下一步林业发展规划和宏观的营林方针、措施,以及预估未来森林动态提供科学的依据。连查通常用于较大地域(全国、省、县或林场)的控制性清查,而不把资源数据落实到小地块,中国把它作为一类调查。通常在同等精度下,地域愈大,其抽样效率愈高。连查要求每次重复调查都在大体相同的时间进行,且以在非生长季节短时期内快速完成为宜;不同复查期的技术标准尽可能一致,以有利于把不同复查期取得的数据作较严格的对比。

历史沿革

连查工作的雏型是1878年法国顾尔诺(A.Gurnaud)提出的检查法。该法用于小面积的异龄林分,通过定期复测数据来分析林分的消长状况。20世纪以来,随着经济发展和人口增长,人们对木材的需求迅速增长,为了保证本国森林资源不受破坏并得到发展,必须把森林天然和人为的总消耗量控制在低于生长量的水平上,于是全国性的连查日益受到重视。北欧三国相继于20年代开始了以全国为对象的连查。此后,美国(1930)、日本(1953)、民主德国(1953)、奥地利(1960)也先后开始了这一工作。复查间隔期1~10年不等。苏联采用的方法是根据基层森林经理小班调查数字定期进行全国森林资源汇总统计。1930~1953年是每10年统计一次,1953年后每5年统计一次。

中国的连查工作可以追朔到若干世纪以前。当时,江、浙主要毛竹产区的竹农,每当新竹长成后(常每两年一次),便对新竹进行计数,并用特制油漆在竹秆上标明该竹所有者及发笋成竹年代。这种间隔期为两年的全林检尺式的连查工作是中国最早的清查工作。但大面积森林清查是在中华人民共和国成立以后。1953~1961年,以县或林场为单位采用以目测为主的小班调查法,进行了第一次全国性森林清查。1973~1977年进行了第二次全国森林清查,通称《四·五清查》(因是在第四个五年计划期间进行),大部分是采用成数点估计地类面积、测树样地估计平均蓄积的两相抽样方法。从1975年开始以省为单位逐步建立连查体系。到1985年,不少省已进行过一次到两次复查,其中广西自治区进行了三次复查。1983年建立了全国森林资源数据库。目前,电子计算机已开始在中国连查工作中广泛应用,有的省建立了相应数据库。使用遥感技术监测森林资源动态的研究工作也以相当规模进行着,并取得了一些有价值的成果。

抽样估计方法及其效率

连查在蓄积估测方面一般是系统布设样地,按照固定和临时样地的不同配合而有五种可能的方案:①样地全部固定;②前、后期都有固定和临时样地;③前期有固定和临时样地,后期只复查固定样地;④前期只设固定样地,后期除复查固定样地外,增设临时样地;⑤前、后期都只有临时样地。所有这些方案都要求总体方差已知,且各套样本相互独立,每套样本都应能提供总体无偏估计值。每个方案的资源现状和资源变化的估计公式列于表1。

表1 两期森林连续清查的抽样估计公式

生长量和消耗量的估计,通常是利用固定样地复测求得数据,按简单随机抽样公式计算。

方案1,估计森林蓄积动态的效率最高。由于了解森林动态是连查的中心目的,因此中国绝大多数省采用此方案。方案2,估计森林现状的效率最高。中国吉林、湖北两省用此方案。连查进入多期后,随着期数的增加,此方案计算方法愈趋复杂,计算工作量也相应迅速增加,必须使用容量较大的计算机才能完成,同时,估计动态的效率也低于方案1,有利于防偏和方案可塑性,其他方案效率都较低,只在特定情况下应用。例如,假定前期只设固定样地,后期为减少样地数,只复查部分样地(未复查的样地可作为前期临时样地),则可按方案3估计后期的资源现状和变化。反之,如后期认为前期固定样地数太少,可增设一些样地,增设的样地不论是固定还是临时的,都可作为临时样地按方案4公式估计后期现状和变化值。如果在前期并未打算进行连查,但用临时样地进行过一般抽样调查,则后期进行抽样调查时,不论设置的是固定还是临时样地,都可作为临时样地按方案5估计现状和变化。

前期设置的固定样地,在后期往往会有一部分不能复位(找不到或样地范围或前后期不能全部吻合)。出现这一情况时,应在原来的地理坐标位置设立样地,并把这些样地和能复位的固定样地合并在一起计算有关值,而不能把未复位的样地作为临时样地处理,因为未复位的样地常有某种偏向,如把它们从固定样地中剔开,会对总体产生有偏估计。

样地的形状和大小

一般有方形样地、角规样点和方阵三种形式。中国采用前两种形式。方形样地面积一般为0.06~0.10公顷,角规点的断面积系数一般为1~4平方米,并用控制检尺办法。北欧三国都采用方阵,方阵边长500~1000米,沿其边线设一定数量的样圆或用角规进行调查。方阵方法是成群抽样,一个方阵是一个群。各种样地形式都有其优点和缺点,要根据具体情况选用。

样地数的确定

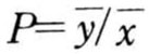
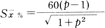
资源变化的变动系数比资源现状的要大得多,且很不稳定,当净增量趋向于零时,其变动系数趋向无穷大。因此,不能和估计资源现状一样采用常规办法确定样地数。解决这一问题的方法有:①罗茨(F.Loetsch)等1966年提出用作为精度指标,检验P与1是否差异显著,如显著,则可判断资源确实增加或减少;如不显著,则判断资源无明显变化,具体方法是,首先规定一个P值,然后用下式计算前期资源现状的标准误百分数

森林连续清查

再按求出固定样地数。这里。C%为前期资源现状变动系数;t为可靠性指标,按单向估计取值,当可靠性为95%时,t=1.67;r为前、后期固定样地的相关系数。例如,令P=1.05(即小于5%的变化认为不显著),估计r=0.6,C%=45%,t=1.67,则由上式可求得n=186。对于方案1,固定样地总数就是186。对于方案2,则按下式计算,并据之求固定和临时样地总数。

森林连续清查

式中 R值根据r和固定样地数与总样地数之比)由表2查出。

表2 R值表

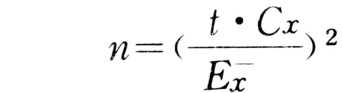
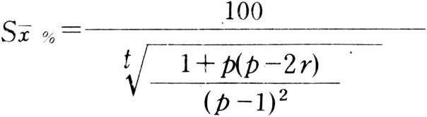
②中国林昌庚1978年提出用作为精度指标计算样地数。t按单向估计取值。当时,能对资源增减的具体数量作出估计。具体方法如下:首先给定e-Δ,然后用下式算出与此相应的资源现状所能达到的精度(或抽样误差E-

森林连续清查

或者反过来,首先给定E-由下式算出相应的e-Δ

森林连续清查

于是

森林连续清查

例如,若取eΔ5%,估计r=0.8和C%=250%,则,n=2700。对于方案1,总固定样地数即为2700个。对其他方案,可通过该方案与方案1的样地数之比R来换算。方案2、5的R=1/〔1-(1-fp)〕r,方案3、4的

样地的布设与外业调查

连查的总体面积比较大,样地一般可布设在地形图的公里网交叉点上。应注意避免系统抽样的周期效应(见)。固定样地的引点应选在样地附近的永久性明显地貌标上。样地的地理坐标、引点处到样地的方位和距离都应记在样地卡片上。连查的外业工作主要是设置和调查样地。样地的定位和测量用罗盘仪和测绳(或皮尺),测线应砍树号标记。引点处和方形样地的四个顶点或角规样点的中心点都应埋设固定标桩。检尺的树木应用固定标记编号,并标明树干上的检尺位置,要绘制样地内树木位置草图。树木检尺需由两个人用围尺进行两次,直径记到毫米。记载样地的坡度、坡向、坡位、海拔、林龄、郁闭度、经营卫生状况、林分特征等。间隔期内,砍伐或自然死亡的树应分别记载。根据需要,固定样地内还要测量部分样木的树高并进行土壤、更新、病虫害等调查。临时样地不设固定标志,不绘草图。

内业计算及分析

主要包括样地卡片的统计计算、按总体计算各种估计值及其抽样误差(需要时可按地区或森林类型分成副总体计算)、编制森林资源统计表及森林分布图、编写调查报告并对资源动态作重点分析。动态成分包括:①总生长量(T):包括进界生长量I、保留木生长量I。②总消耗量(T):包括砍伐量自然枯损量V。③净增量(Δ):

Δ=V-V=T-T

式中 VV分别为前、后期材积。

根据样地数据按抽样估计方法进行总体及副总体有关统计量的计算。在计算和分析基础上评价间隔期内林业生产活动的总效果,并对今后的林业发展规划和经营方针、措施等提出建议。