登录| 注册    
收藏  点赞 

森林遥感多阶抽样

利用多级遥感图象以及地面调查,组成多阶样本,以估测森林资源的方法。1970年底美国利用遥感进行多阶抽样试验,此后许多国家也进行了这方面的研究。特点森林遥感多阶抽样所使用的遥感图象,由卫星图象、小比例尺航空象片、大比例尺航空象片组合成空间多层遥感系统。各层图象时态,力求同步。当现有的航空象片因时态差异不便使用时,应按所需比例尺对抽中的单元进行航空摄影。

利用多级遥感图象以及地面调查,组成多阶样本,以估测森林资源的方法。1970年底美国利用遥感进行多阶抽样试验,此后许多国家也进行了这方面的研究。

特点

森林遥感多阶抽样所使用的遥感图象,由卫星图象、小比例尺航空象片、大比例尺航空象片组合成空间多层遥感系统。各层图象时态,力求同步。当现有的航空象片因时态差异不便使用时,应按所需比例尺对抽中的单元进行航空摄影。抽样设计,由概率相等的多阶抽样发展到概率不等的多阶抽样,目前多用,即概率与单元大小成比例的不等概抽样。一般先利用卫星图象进行有林地判读,而后利用航空象片进行有林地或森林蓄积量判读。判读的成数为各阶所含的概率,以此作为组织样本的基础,随机变概抽取样本单元。按多阶的顺序,由上而下逐级抽样,在最后一阶的地面样地上实测森林蓄积量,按相应的可变概率进行森林蓄积量的估测。估测时,由下而上逐级扩充,最后得到总体森林蓄积量。

方法步骤

以三阶不等概率抽样为例,其过程一般包括:①将总体的范围标定在经光学彩色合成或计算机处理的卫星图象上,在总体内划分一定面积的方格作为总体的一阶单元。对一阶单元进行有林地的蓄积量预估值判读,成数点按一阶单元顺序累计作为一阶样本抽取的基础。②根据预估值累计值随机抽样,当随机数字≤最大累计数者即为随机可变概率抽取的单元。③卫星图象上所抽中的一阶样本单元的轮廓转绘标定到小比例尺航空象片上,在其范围内划分为一定数量的二阶单元,其形状为方格或者条带。然后在二阶单元内勾绘森林类型轮廓并进行森林蓄积量预估值判读。④以所含蓄积量概率为依据,用每个单元蓄积量累计值随机可变概率抽取二阶样本单元,并将其轮廓转绘标定到大比例尺航空象片上。⑤在二阶样本单元内按蓄积量预估值抽取三阶样本单元,并在大比例尺航空象片上刺点标定。⑥根据影象特征对第三阶样本单元进行现地定位,设置实测样地或角规样地,测定其相应的蓄积量。⑦总体森林蓄积量的估测。其统计模式为

森林遥感多阶抽样

式中 V为第三阶样本单元蓄积量测定值;P为第i个一阶样本单元的抽取概率;P为第i个一阶样本单元内抽取第j个二阶样本单元的条件概率;P为在已经抽取的第i个一阶样本单元第j个二阶样本单元中抽取第k个三阶样本单元的条件概率;nmitij分别为第一阶、第二阶、第三阶样本的含量。最后计算其估测精度。标准误计算公式为

森林遥感多阶抽样

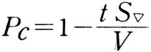
精度公式为

森林遥感多阶抽样

式中 t为可靠性指标,一般按95%的可靠性,t=1.96。

效率

森林遥感多阶抽样是一种高效率的森林资源调查方法。这是由于组合成多层次的遥感系统,由卫星图象到小比例尺、大比例尺航空象片,各层图象的分辨力逐级提高,由宏观到微观,发挥各种遥感图象的特点,取长补短,充分发掘遥感图象的潜在能力;采用可变的各阶概率作为辅助变量提高了目的变量的估测精度;第一阶判读,控制了一阶样本单元之间的变动以减少抽样误差。在抽样方案设计时需要考虑以下几点:①辅助变量与目的变量相关紧密,概率因子选取得当;②各阶内样本单元之间的变异小且第一阶林地界线明显;③各层遥感图象易于匹配,包括时态同步,比例协调;④总体范围比较大,样本含量比较多;⑤根据林况的变异程度、遥感图象质量和判读调查作业的成本等因素,设计多阶的阶次数目,以及各阶样本单元的大小和数量。

适用条件

森林遥感多阶抽样适用于大面积边远林区的森林资源调查。它只能估测总的蓄积量,不能得到细部的蓄积量。估测对象除森林蓄积量外,在大林区的森林病虫害监测中也常采用多阶抽样。但航空象片的片种,常包含有彩色红外片,判读及调查内容也针对森林病虫害方面(见)。