登录| 注册    
收藏  点赞 

森林遥感图象光学处理

根据光学和色度学原理,用光化学、光一电方法对遥感图象进行增强或为某种信息提取的目的而进行的加工过程。它可以改善遥感图象在森林判读方面的性能。遥感图象光学处理方法较多,大致可归纳为以下四类:摄影处理通过暗室操作或晒印、制版技巧来改善影象,有以下几种主要方法:反差增强在洗印过程中通过控制曝光量、显影条件和选择拷贝材料来提高影象反差。

根据光学和色度学原理,用光化学、光一电方法对遥感图象进行增强或为某种信息提取的目的而进行的加工过程。它可以改善遥感图象在森林判读方面的性能。

遥感图象光学处理方法较多,大致可归纳为以下四类:

摄影处理

通过暗室操作或晒印、制版技巧来改善影象,有以下几种主要方法:

反差增强

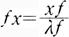
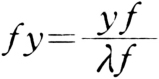
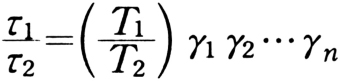
在洗印过程中通过控制曝光量、显影条件和选择拷贝材料来提高影象反差。拷贝次数愈多,反差愈强,其关系为

森林遥感图象光学处理

式中τ1、τ2为目标1、2在正片上的透过比;T1、T2为目标1、2通过滤光片的光强;Υ为反差系数。若Υ2……Υn都大于1,则称为得到n次增强。这种方法适用于低反差影象(如草原、旱田)和大宽容度感光胶片(如多光谱摄影所用的感光胶片)。反差拉大再去合成会提高图象质量。该法是以损失影象色调层次和细部信息为代价。用提高胶片反差系数的办法比增加拷贝次数效果好。用常规洗印设备和掩膜法均可实现这种增强。掩膜法还可进行反差减弱,这对处理反差大的影象是必要的。

边缘增强

用光学方法分离出(或消除)黑白连续色调影象中的线性特征。可使不同性质的影象界线清楚地显示出来。作法:将同一影象的正、负软片叠合,在曝光印象时,稍错动底片或相隔一定距离,分别用直光、斜光(旋转曝光法就属此类)照射,入射光于不同性质影象交界处就会产生增强。这种方法适用于林地、非林地的各种地类界线的勾绘。方法简单、有效,能结合专业知识提取有用信息,排除被增强的噪声。用常规洗印设备,掩膜或编码法均可实现这种增强。

重氮法彩色合成

根据光的减色原理,让紫外线通过多波段影象,对一种特别的重氮盐片进行曝光,得到若干不同的单色片再进行叠合观察。也叫彩色透明片合成法。优点是简单、快速。为提高判读效果可用投影仪放大到屏幕进行观察。可区分林地与非林地界线、针叶与阔叶树种组。所用设备是重氮片晒印器、显影机。

染印法彩色合成

根据减色法原理,将多波段黑白负片拷贝成浮雕模片,对浮雕染色,再将不同色调的浮雕片,转印叠加到空白接受纸上,形成彩色合成图象。浮雕片是染印法专用感光胶片,它有感光胶片的性能,又有吸附染料的性能。本方法印出的图象彩色鲜艳,不退色,可大量复制,长期保存,成本低。它可区分林地与非林地界线、针叶和阔叶树种组,以及各种无林地和非林地。还可将色彩染印到透明胶片上,直接叠合判读。该法操作环节较多,经验和工艺条件稳定至关重要。

印刷法彩色合成

根据减色原理,利用普通胶印设备,用彩色制版和印刷工艺进行彩色合成。直接用多波段遥感图象分色片制作网目印刷版,然后按规定版色套印成彩色图。图的质量取决于分色网目印刷版上的网纹密度。这种方法利于大批量生产,便于保存图片。可区别林地与非林地界线,显示大片群落的交替及无、非林地内的各种地类。套印人工注字和线画地物更利于使用。该法工序复杂,影象数量少时,不经济。

比值影象

一幅多波段影象,不同波段象元的密度值,经四则运算所得到的新影象。光学方法实现乘除运算即用同号或异号片叠印,因为具有密度1(D1)和密度2(D2)两张同号的影象叠印,所得到新影象的密度值

森林遥感图象光学处理

式中 T1T2为两影象的透过率。如其一为负片则会导出两透过率的倒数相除。加法运算用加色合成仪,减法可借助光栅在4f系统中的移动来实现。实践表明这种方法不仅对消除阴影有效,优于密度分割,而且可集各波段信息于同一张影象,极利于判读。通常认为反映生物量、绿色植被指数以及5波段与7波段的比值能较好地反映森林群落的变异,可以把树种差异以及某些特殊的纯林反映出来,对无、非林地区分效果更好。该方法用于森林分类效果较好。缺点是随地区和林况的不同,采用比值也不同,需作较多试验、准备工作。除加、减法外,暗室作业即可。

光电处理

用光或光电转换的方法改善影象,有以下几种主要方法:

加色合成

根据光的加色原理,将多波段软片配合特定的滤色片,通过光学系统或电视系统,使它们精确地叠合构成彩色图象。又称多软片法。使用加色合成仪是它的通常作法。这种方法可消除摄影时高空雾霾的影响,不需用难以保存和处理的彩红外片就可得到彩色鲜明的图象,便于定量控制,由滤色片和波段的组合形成多种方案提供判读员选用,彩色化利于分辨影象细微差异,既可合成假彩色,也可合成真彩色。该方法可对林地与无、非林地的地类界、树种组进行较好的区分。缺点是需要较昂贵的设备,成象比例尺小,且不宜调节。

密度分割

从影象连续变化的灰度影调中分割出(强调出)某些密度的等密度轮廓。也叫等密度测定。若使各密度级与色彩一一对应,就得到强调的图象,叫作假彩色等密度分割。密度分割可用多种方法实现:①暗室技术:用高反差印相纸将一个连续色调的负象复制成两个色调的影象,叫作二元变换(印刷业叫哈富通技术);或利用二次曝光所产生的部分反转效应——Clayden效应,分离出某一密度的影象;或用特制的等值(Contour)胶片,拷贝出等密度影象。②掩膜技术:在多波段成象系统中,用某种景物(如背景)在两个不同的波段中影象是相反极性的特点,用掩膜(迭加)的方法,取出其他信息来。③密度分割:通常作法是用密度分割仪来实现。仪器将影象的密度变为不同电频等级的数字信号,再给予不同电频等级以不同色彩,就形成了等密度分割彩色图象。线性分割适于反差较小的影象;对数分割多用于反差较大的影象。这种方法最宜用于目标特性与影象密度有很好对应关系的情况。对林地与非林地界线、针叶与阔叶树种组以及无林地和非林地各种地类可作很好的区分。优点是密度变成电讯号,便于放大,突出了图象轮廓,处理速度快,作一幅图仅需20秒,还可与计算机连机作业。缺点是不能排除不同光照条件对地物影象的干扰,给判读带来麻烦。

专题抽取

用多波段影象不同波段的正负片,通过调整它们的密度和反差系数,使一些影象相互抵消,而把要抽取的目标影象保留下来。这个方法也较好地克服了局部光照水准差异造成的影响,能分离植被与潮湿裸地,对无林地和非林地区分效果较好。亦可将这些专题图合成一张假彩色图。该方法需丰富的经验,否则难于达到预期目的。可在加色合成仪作,也可用掩膜的方法实现。

相关掩膜处理

用特制的掩膜,再合成而得到改善的影象。有以下几种主要方法:

等照度变换

多波段影象负片(反差系数Υ)与制出的2个Υ/2的正模片叠合,形成组合片,能消除局部光照水准不一,使同一地物具有同一密度。它的效果相当于比值增强和专题抽取。制出合格的模片是困难的。这个方法是通过掩膜技术实现的。掩膜技术是印刷和电影业早已采用的,称作蒙片法(马斯克法)。由中国遥感科技人员发展成能用于各种图象处理的、比较完善的技术,叫相关掩膜。掩膜制法有多种,除具反差(Υ)特性掩膜外,还有二元和等密度掩膜。

黑白发色

通过制作基准密度和反差系数均有较大差异的模片,再合成,从而使一张黑白照片彩色化。实际上是一种彩色增强,可提高判读特性。但是不同的目标(如云盖和植被)会被赋于同一种色彩,造成误判。该法不需专门设备。

影象相减

对于不同时间重复摄影取得的可以精确重合的影象,分别取其一张正片和一张负片叠合,把两次摄影之间地类变化显示出来。该方法对森林的变迁、动态监测尤为有效。可用加色合成仪、掩膜法,也可用两张胶片直接叠合。困难是不易获得精密重合的影象,及两次影象的密度有差异。后者可用中性滤光片补偿。

相干光学处理

利用光栅衍射和傅氏透镜的变换特性改善图象,有以下几种主要方法:

频谱分析

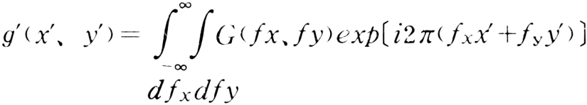
也称衍射图分析。在相干光系统中,经会聚透镜将在其后焦面得到夫琅和费(Fraunhofer)衍射图。它记录了影象的空间频谱特性。对它进行直接分析,实质上是进行了一次傅立叶变换,其数学式为

森林遥感图象光学处理

式中 g(x、y)为物函数;G(fx、fy)为谱函数;λ为相干光波长。这样就把空域的问题变为谱域的问题。从若干典型地物与其衍射图中,可以看出线状地物和果园的频谱差异。这种方法对人工地物分类精度高,可达98.8%,非人工目标为86.1%。这种图的判读需专门技术,可在全息台上去做,也可用专门的仪器如傅立叶光学卫星图象处理机。

空间滤波

在频谱面上通过滤波器的部分频谱,再经傅立叶反变换得到某种增强或改善的图象。反变换也是通过一个会聚透镜实现的,表达式为

森林遥感图象光学处理

式中 g′(x′、y′)为象函数,其余符号同前。许多问题在谱域中处理更方便。这种方法可以消除大气抖动和离焦造成的影象模糊,提高分辨率,它是对影象结构的分类法。频谱的分布中心为低频向边缘方向逐渐增高,可分别用高通、低通、带通和定向带通滤频片进行处理。此外尚有二元、振幅、相位以及组合滤频片供特殊目的采用。该方法对航空影象效果更佳。可在傅立叶光学图象处理机上,或实验室内4f系统上实现。

彩色编码

在傅立叶光学中,是指黑白图象按其某种性质分等级再各赋予不同彩色,形成彩色图象。可分两类:其一按图象在傅立叶光学系统衍射空间频率成分分级(用滤色片),叫频率编码;其二按图象的光密度等级编码,叫密度编码。密度编码这类方法较多,主要有:①光学图象位相调制彩色编码法:为中国首创。用位相光栅抽样后密度值转变为位相信息,再于白光处理系统中解调,利用位相光栅在白光照明下的独特衍射性质得到密度编码图象。这种方法由于用位相光栅比吸收型光栅光强利用率高,采样频率高(20~40线对/毫米),空间带宽积大,适用于单张、比值和多种组合图。在林地分类中可对树种组以及某些特殊的纯林和地类,作较好区分。②半色调屏彩色编码法:对具有连续灰度调的图象,经半色调屏预处理,再进入相干光或多色扩展光源处理系统,经傅立叶变换和空间滤波得到彩色图象。这种方法受到半色调屏难于制作的约束。此外还有彩虹全息和光栅载波密度反转彩色编码法。可在光学处理机和4f系统上实现。

线性增强

又称光栅衍射法。据费涅尔(Fresnl)衍射作用,透过相位光栅的影象,凡与光栅狭缝垂直的线性特征都被增强,平行光栅狭缝的线状地物则减弱;增强的点线通过调整光栅可形成连续线。光栅旋转可增强各方向的线状要素。此法便于观察,成本低。可在实验室或光学处理机上实现。

上述各种处理方法可单独使用,也可联合使用。比如做完比值增强,再进行彩色编码,效果更好。各种方法基本上适用于航天,也适用于航空影象。多数方法适用于各种片种。