登录| 注册    
收藏  点赞 

系统抽样

在含有N个单元的总体中,随机确定起点后,按照一定间隔模式抽取n个单元组成样本以估计总体的方法。又称机械抽样或等距抽样。有等距网点抽样、线上样地抽样、等间距带状抽样等形式。该方法随机抽出第一个单元就决定了整个样本。这类样本称为系统样本,可视为整群抽样的一个群。它既可单独使用,又可与分层抽样、两阶抽样等调查方法配合使用。应用情况系统抽样是一种常用的抽样方法。

在含有N个单元的总体中,随机确定起点后,按照一定间隔模式抽取n个单元组成样本以估计总体的方法。又称机械抽样或等距抽样。有等距网点抽样、线上样地抽样、等间距带状抽样等形式。该方法随机抽出第一个单元就决定了整个样本。这类样本称为系统样本,可视为整群抽样的一个群。它既可单独使用,又可与分层抽样、两阶抽样等调查方法配合使用。

应用情况系统抽样是一种常用的抽样方法。具有设计方便,定位容易,样本单元分布均匀,一般情况下能提供无偏估计值,实际精度较简箏随机抽样高等优点。森林调查中常用它代替简单随机抽样。20世纪初以来,被世界许多国家所采用。挪威、瑞典等国的全国森林资源清查多采用这种方法。中国的一、二、三类调查(见),常以它进行样地(样点)布设和总体蓄积控制。1982年中国林业部颁发的《森林资源调查主要技术规定》中明确规定,全国森林资源清查的固定样地按系统抽样原则布设。

工作步骤

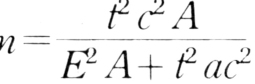
①确定样本单元数:这里,t为可靠性指标;c为变动系数;A为总体面积;E为相对误差限;a为样地面积。②计算点间距(L):。③布点:按图上点间距制作网点板。在小班图上随机取一单元为起点(如图中的点),将预制的网点板中的一点与点重合,将其他点刺在图上,依次编号,即得该小班的系统抽样布点图。④样地的定位和调查:准确确定其中一个样地位置后,其余的可以依它们之间的相对位置的确定。工作中应注意样地尽量采用引线实测方法定位;样地不受是否跨层、跨地类的影响,其形状、方位不得任意改变;正确处理跨总体或副总体边界、跨悬岩、不可到达等的特殊样地的设置与调查,事先作出统一规定;系统样点所落地类,只要有符合检尺要求的树木,都必须设置样地进行检尺。

系统抽样布点示意图

周期性变动对系统抽样的影响

的自然分布,常因地形、土壤、人为活动等因素的影响,在地域上形成一种有规律的变化。如果样地的间距恰与周期性变化一致,就会出现偏差。如:样地间距与沟谷的分布巧合,多数样地落到沟谷密林中,则蓄积量估计值偏高;样地间距与择伐带的分布吻合,多数样地落到伐区疏林中,则蓄积量估计值偏低。设计方案时,为避免周期性变动的影响,常采用如下方法:①避免工作线的方向及间距与线状地物吻合;②采用两个方向成行或多个随机起点的系统抽样;③采用系统抽样的分层估计方法,各层样地只估计该层的平均值。