登录| 注册    
收藏  点赞 

线抽样

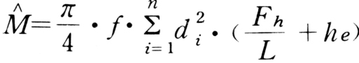
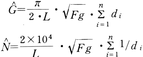
根据角规测树原理创建了线抽样方法。估测方法①水平线抽样:在样线上,从一端到另一端,用水平角规逐一观测垂直于样线方向的每株立木胸高断面,当断面与角规视角相割时该立木即被取作样木(见图)。凡样木均实测胸径。对单测水平线抽样,每公顷断面积总和及株数的估计值为 线抽样 式中 为每公顷胸高断面积估计值;为每公顷株数估计值;为水平角规常数;L为样线长度;di为第i株样木的胸高直径;n为样木株数。

以线段为抽样单元,在样线上用角规观测抽取样木进行森林调查的方法。只对样线一侧林木进行观测的叫单侧法,对样线两侧林木都进行观测的叫双侧法。根据角规类型和测定方法的不同,线抽样可分为水平线抽样和垂直线抽样两类。水平线抽样的抽样概率与林木直径成正比,主要用来测定每公顷胸高断面积和株数;垂直线抽样的抽样概率与林木眼高以上树干段长度成正比,主要用来测定每公顷蓄积量。1957年挪威斯特兰德(L.Strand)根据角规测树原理创建了线抽样方法。

估测方法

①水平线抽样:在样线上,从一端到另一端,用水平角规逐一观测垂直于样线方向的每株立木胸高断面,当断面与角规视角相割时该立木即被取作样木(见图)。凡样木均实测胸径。对单测水平线抽样,每公顷断面积总和及株数的估计值为

线抽样

式中 为每公顷胸高断面积估计值;为每公顷株数估计值;为水平角规常数;L为样线长度;di为第i株样木的胸高直径;n为样木株数。在实际调查中,常把临界木记作1/2株样木。双侧水平线抽样时,断面积和株数的估计值是上式计算结果的一半。②垂直线抽样:沿样线用垂直角规观测垂直于样线方向的林木眼高以上树干段,凡角规视角与眼高以上树干段相割即为样木,并测定其胸径对单侧垂直线抽样,当林分平均形数f已知的条件下。每公顷蓄积量()可用下式近似地进行估计。

单侧水平线抽样示意图

线抽样

式中 F为垂直角规常数;h为眼高。

线抽样的评价

线抽样是一种快速高效的测树方法。其优点是:①不设样地,改设样线,调查效率大大提高,并避免测设样地带来的边界误差;②外业实施、内业计算以及山地坡度改正都简便易行;③调查精度与林木分布的均质程度和正确掌握线抽样的调查技术有密切关系;④可用于以蓄积量为目的各类森林资源的调查,并能将资源落实到小地块。但对于灌木杂草稠密,观测林木胸径部位困难的林分,不宜使用线抽样。