登录| 注册    
收藏  点赞 

原木板积表

以板英尺为单位估算原木材积的测树数表。一个板英尺单位为1英寸厚的1平方英尺板材。这种数表以原木为对象进行检尺,其作用相当于原木材积表。数表内容为根据小头直径(英寸)和原木长度(英尺)的大小,排列成原木材积(板英尺)数值。表列数值属于估算性质,往往与实际材积有出入(一般是大于实际材积)。原木板积表广泛应用于北美国家,在国际木材贸易中有一定影响。最早的原木板积表是1825年在美国纽约州出现的。

以板英尺为单位估算原木材积的测树数表。一个板英尺单位为1英寸厚的1平方英尺板材。这种数表以原木为对象进行检尺,其作用相当于原木材积表。数表内容为根据小头直径(英寸)和原木长度(英尺)的大小,排列成原木材积(板英尺)数值。表列数值属于估算性质,往往与实际材积有出入(一般是大于实际材积)。原木板积表广泛应用于北美国家,在国际木材贸易中有一定影响。

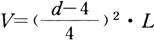
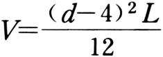
最早的原木板积表是1825年在美国纽约州出现的。此后,数表的编制形式逐步发展到100多种。其中最通用的为斯克赖宾纳板积表、多俟尔板积表和国际板积表。①斯克赖宾纳板积表:它的编制方法是用图解法把小头直径圆断面划分为1英寸厚的板材数量,并使板材的宽度不小于8英寸。但划分时,必须在圆面积上扣去制板锯口和边材的损耗。每个锯口按1/4英寸计算。本表曾分A、B、C三种。现在通用的是C种,称为斯克赖宾纳10位数C原木板积表。表内的数字,小头直径分为6~50英寸,原木长度分为8、10、12、14、16、18、20英尺,材积以10位板英尺整数列出。②多俟尔原木板积表:为美国最早采用和应用最普遍的一种原木板积表。此表编制是以数学计算方法来估算原木的板英尺材积。计算的依据是先从原木小头直径减去4英寸作为板皮耗损,即;再从所得的板英尺材积中减去25%作为锯口和收缩的折损;最后得

原木板积表

式中 d为小头直径;L为原木长。③国际原木板积表:1900年由克拉克(J.F.Clark)提出。它以4英尺长的原木为计算基础,每个锯口损耗按1/8英寸计算,每英寸板材的收缩值按1/16英寸计算。