登录| 注册    
收藏  点赞 

植物激素

植物体内一定部位器官或组织产生,并能运输到其他部位器官组织,对其生长发育起调节作用的微量有机物质。植物体内已发现的激素有生长素、赤霉素类和细胞分裂素类、脱落酸和乙烯等五类。生长素首先是从人尿中分离出能促进胚芽鞘生长的物质——吲哚乙酸(IAA),后来确认IAA是高等植物中分布最广的一种生长素。

植物体内一定部位器官或组织产生,并能运输到其他部位器官组织,对其生长发育起调节作用的微量有机物质。植物体内已发现的激素有生长素、赤霉素类和细胞分裂素类、脱落酸和乙烯等五类。

生长素

首先是从人尿中分离出能促进胚芽鞘生长的物质——吲哚乙酸(IAA),后来确认IAA是高等植物中分布最广的一种生长素。其结构式为:

植物激素

生长素普遍存在于植物体内各组织中,在幼嫩组织里含量较高,菌根和根瘤也能合成相当量的生长素。其含量每公斤鲜重1~10微克,呈游离态和结合态,随植物的生长发育状况和外界的影响而变化。在植物体内,一方面被氧化破坏,同时又有合成。吲哚乙酸氧化酶能氧化生长素,也可被脱羧失去侧链而失活。有时与其他有机物(如葡萄糖、天冬氨氢酸)形成无活性的复合物,水解后又能具有活性。吲哚乙酸通常以色氨酸(吲哚丙氨酸)为前体,吲哚乙醛、吲哚乙晴、吲哚丙酮酸等都是生物合成IAA的中间产物,均可转化为IAA。生长素的生理作用有:①促进细胞伸长和组织与器官的分化:不同植物种类、年龄的组织对生长素浓度反应有差异,分生组织的反应敏感,高度分化的组织反应小,当浓度高时,可使已分化的组织脱分化成愈伤组织。不同浓度的生长素,可促进愈伤组织和茎插穗分化形成根,是扦插生根中广泛应用的药剂。生长素还能促进形成层细胞的分裂和木质部的分化。②顶端优势和向性:植物器官对生长素的敏感性依次是根>芽>茎。通过顶芽产生的生长素抑制侧芽,保持植物的顶端优势。植物有向光性和负向地性,而根有向地性,一般认为是生长素在茎尖、根尖不均匀分布,造成单侧的不均衡生长,产生向光弯曲,或向上或向地弯曲生长。

赤霉素类

黑泽于1926年发现水稻恶苗菌的分泌物同样能使水稻徒长的现象,薮田等在1937年从中获得粗结晶,定名为赤霉素。50年代中期被各国学者所重视,相继从高等植物分离出一些赤霉素。它们属于双萜类,都具有赤霉烷的基本结构,具有羧基呈酸性。其结构式为:

植物激素

植物激素

至80年代已发现赤霉素70多种,其差异在于双键、羧基数目和位置的不同。按顺序给以不同的编号为GA1,GA2,GA3,……GA6,……GAn等。其中GA3的活性较强,对植物起多种生理作用,并能用赤霉菌进行工业化生产,使用广泛。赤霉素在植物体内呈游离态和结合态存在。GA对植物最突出的作用是:刺激茎节间的伸长,能使矮生性植物的变种长成与正常品种一样高;打破休眠,促进萌发,代替一些植物对低温的要求,促进开花,又可防止落花落果,促进无子果实的形成;浸种处理能促进种子萌发和加速苗期生长等。GA诱导α-淀粉酶的形成,已应用于麦芽糖和啤酒的生产中,但对根的生长却有抑制。

细胞分裂素类

也称植物细胞分裂素。是嘌呤衍生物,在基本结构中有一个6-氨基嘌呤(腺嘌呤)。可分为:①激动素:最初是从高压灭菌后的DNA中提取出来的一种物质,能诱导细胞分裂,经过分离提纯结构为6-糠基氨基嘌呤。其结构式为:

植物激素

②玉米素:从玉米未成熟种子分离得到的第一个天然细胞分裂素。化学名称为6-(4-羟基-3-甲基-2-反丁烯基)氨基嘌呤。结构式为:

植物激素

玉米素是高活性物质(约为激动素的10倍),现已可人工合成。自然界除存在玉米素外,还相继发现玉米素核苷和玉米素核苷酸。细胞分裂素的种类随研究的进展,正在逐步增加。如已发现玉米素的衍生物、双氢玉米素,以及异戊烯基腺嘌呤及其核苷都是有较强活性细胞分裂素。这类物质存在于多种植物中,从种子、根、茎、叶、幼嫩的分生组织和伤流液中均有发现。其明显的生理作用是促进细胞分裂和细胞扩大,调节组织的分化,促进芽的形成,解除顶端优势,增进侧芽生长,抑制蛋白质和叶绿素降解,延迟衰老,并有提高组织抵御伤害的效应。

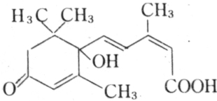
脱落酸

植物激素

是植物内所发现分布最广的抑制物质之一。这种物质几乎同时从脱落棉铃和假挪威槭中分离得到,分别被称为脱落素Ⅱ和休眠素,经证实是同一物质后,统一定名为(ABA)。它是以异戊二烯为基本结构单位的倍半帖类化合物。植物体中产生的ABA为右旋的S-ABA。2-顺式ABA(2-CiS ABA),具有活性。其结构式如下。ABA对紫外光敏感,可慢慢变成2-反式ABA而失活。ABA广泛存在于植物各部器官的组织中,它抑制种子的萌发,调节芽的休眠,促进离层形成与器官的衰老、脱落。ABA在植物处于逆境时浓度增高,如干旱时ABA促进气孔关闭。组织中脯氨酸的合成也受ABA的调节。

乙烯

乙烯是植物体内含量很少的气体,到60年代才被确认为是一种激素。植物所有组织都能产生乙烯,当植物受伤时,乙烯释放量增加,这是组织对伤害的一种反应。乙烯的生理效应较明显的有:打破顶端优势,抑制茎的伸长生长,促进横向加粗;引起叶的偏上生长(叶柄向下与茎平行或下垂);促进果实成熟和器官衰老脱落;调控花的性别,增加雌花的形成。CO2是乙烯的拮抗物。由于乙烯为气体,不便使用,人们就合成了能在植物体内释放乙烯的“乙烯利”,以供应用。