登录| 注册    
收藏  点赞 

冰情

的理化性质、水力情况和气象条件有关。远在公元前400年,《礼记·月令篇》已有冰情的记载,此后历代史书亦有冰情记述。在国外,19世纪中叶,加拿大的圣劳伦斯河已经有了春汛冰坝造成破坏情况的记录。进入20世纪,对于水内冰形成的机制,有了深入的研究。50年代,许多学者研究了湖泊冰厚的计算、分析了15世纪以后许多湖泊封冻历时,以此粗略推算当时冬季的寒冷程度

水体因热量收支及动力影响引起结冰、封冻与解冻的现象。

秋冬之际,水体收入的热量小于支出的热量时,水体开始冷却,温度下降,当水温到达0℃,并略呈过冷却时,水体表面开始呈现冰象,以至水体全面封冻。如水体继续冷却,封冻冰不断增厚。但如温度回升以及风力、水力等原因,亦可能引起局部融化或冰盖破裂,形成时封时开现象。直到春季水体收入热量大于支出热量、水温到达0℃以上时,水体解冻。这一过程与水体形势、水的理化性质、水力情况和气象条件有关。

远在公元前400年,《礼记·月令篇》已有冰情的记载,此后历代史书亦有冰情记述。在国外,19世纪中叶,加拿大的圣劳伦斯河已经有了春汛冰坝造成破坏情况的记录。进入20世纪,对于水内冰形成的机制,有了深入的研究。50年代,许多学者研究了湖泊冰厚的计算、分析了15世纪以后许多湖泊封冻历时,以此粗略推算当时冬季的寒冷程度,并能对冰情作出预报。

水体结冰 河、湖结冰过程,略有区别:河水流速大,紊动作用较强,能使整个断面水温下降,达于0℃,以至过冷却状态;湖水流速微小,紊动作用极弱,表层水温冷却至4℃时,密度增大而下沉引起上下循环,直至上下层水温均为4℃时,循环停止;此后,表层水温冷却至0℃,并呈过冷却时,而下层水温则高于0℃。故河流结冰过程除水面冻结外,尚有水内冰产生。而在一般情况下,湖泊中并无水内冰现象。

河流冻结的发展过程为:①河水处于过冷却状态时,水面即产生针状或薄片状冰晶体,如继续过冷却,较多的冰晶体组成松散易碎的薄冰;②由于热力与水力原因,岸边较早生成冰晶体,固定在岸边的冰层;叫做岸冰;③在产生岸冰的同时,河水内存在低于0℃的过冷却水,如流速减缓,便在河中任何部位产生海绵状或饭团状的水内冰,其附着在河底上的叫做底冰或锚冰;④水内冰的体积不断增大,浮力大于重力或与河底附着力时,上浮水面,随流漂浮,叫做淌凌或流凌。

湖泊的冻结,视面积大小,而略有不同:①小型湖泊在无风强冷却的情况下,先形成几毫米直径的片冰,再增大成为树枝状晶,最后即在湖面上,形成一封冻的薄冰层,叫做片状冰;②较大的湖泊在风浪的作用下,薄冰层因破碎,磨蚀,最后融合成表面粗糙集块冰层,或在降雪的情况下,形成不透明的集块冰层。

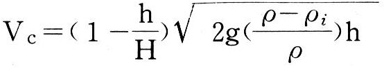
封冻过程 经过冰盖形成与冰盖增厚两阶段。河流的冰块面积大于河面的70%时,在宣泄不畅的狭窄段或弯道处,冰块受阻,形成冰桥。在强冷却情况下,流凌受冰桥阻塞,冰块相互之间,冻结成冰盖,即为封冻。如冰桥上游河水流速小于临界值时,封冻冰将向上游扩展,临界流速如下式:

冰情

式中 Vc为临界流速;h为冰桥厚;H为临近冰桥上游水深;ρ与ρi分别为水与冰的密度。当上游河水流速大于临界值,凌块下潜,如流速不足以将凌块冲往下游水面,即冻结在冰盖下面,形成冰塞。水面基本封冻后仍有敞露水面的,叫做清沟,与冷空气接融,不断产生过冷却水,在下游冰盖下面形成冰花,亦能形成冰塞,冰塞段影响水流宣泄,抬升上游水位。

湖泊形成的薄冰层或薄集块冰层,常经过消失与冻结几次反复过程,始能形成稳定的封冻冰。

冰层增厚,有二种方式:①冰盖下热量穿过冰层传至大气中,冰盖下水温冷却,冰层下面不断增厚;②水位上涨,或冰上覆有较厚积雪,可能使冰层破裂,冰下水冒上冰面,从冰面上增厚冰层。冰层增厚可根据冰面热量平衡方程推求,如下式:

冰情

式中 h为平衡厚度;αi为冰的导热系数(0.00535卡·厘米-1。度-1·秒-1);T0为水的冻结温度(0℃);Ta为冰面温度(因资料少一般以气温代替);t为时间;L为结冰潜热(80卡/克);ρ1为冰的密度(0.92克/厘米3)。将上述数值代入式中,若计算时段以日计,即t=1日,并引进累积日平均负气温∑Ta项,得下式:

冰情

冰层实际厚度为平衡厚度的85~90%。

解冻过程 太阳辐射,空气传导与降雨等热量为封冻冰消融的主要能源。当气温升至0℃以后,冰层表面开始融化。如有较高温度的来水流入河段或湖泊,可使冰盖下部同时融化,岸边土壤吸热较冰层多,故沿岸冰层先融,形成水巷,叫做脱岸。如因风浪或水力作用,冰层断裂成块,漂浮水面。河流中漂浮冰块,顺流而下,叫做春季淌凌。在自南向北的河段上,如黄河兰州——包头段上暖下冷,解冻期流冰在下游排泄不畅的河段,卡塞结坝,叫做冰坝。冰坝结成后,抬高上游水位,甚至向两岸泛滥成灾。

冰情地理分布 北纬50°左右,如海拉尔一带,中等河流自11月上旬开始封冻,至翌年4月下旬解冻;最大冰厚达1.5米以上;南至徐州天水一线自1月上旬封冻,至2月上旬开河,最大冰厚在0.25米左右;再南至杭州武汉一线,多数年份不结冰封冻。青藏高原因地势高,封冻天数比东部同纬度地区为长。湖泊封冻较同地区河流封冻早而解冻迟。

参考书目

施成熙、梁瑞驹主编:《陆地水文学原理》,中国工业出版社,1964。

T.B.Одрова,Гцброфцэцка вооемов сущц,Гидрометео-иэдат,1979,Лешшград.