登录| 注册    
收藏  点赞 

地基中的应力

由覆盖土层重量和建筑物荷重在地基中分别引起的自重应力与附加应力之和。它们是研究地基沉降和稳定性的基本资料。当地面水平无限延伸,某点的垂直自重应力Pza就等于该点以上土柱重产生的压力。水平自重应力Pxa=KoPza,式中Ko为静止侧压力系数,由试验直接测定

由覆盖土层重量和建筑物荷重在地基中分别引起的自重应力与附加应力之和。它们是研究地基沉降和稳定性的基本资料。当地面水平无限延伸,某点的垂直自重应力Pza就等于该点以上土柱重产生的压力。水平自重应力Pxa=KoPza,式中Ko为静止侧压力系数,由试验直接测定,或由经验公式估算。

图1 土体中的应力和附加应力

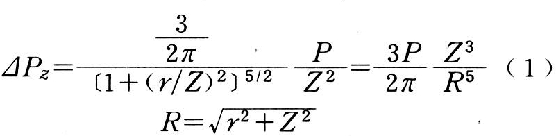
当土体中的应力远低于其强度时,土体的应力——应变关系接近于直线,则附加应力可利用弹性力学中的布辛内斯克理论计算。如图1,设在线性、均质、各向同性的弹性半无限体表面作用一垂直集中荷重P,则体内任一点M(x,y,z)的垂直附加应力为:

地基中的应力

式(1)说明ΔPz 的分布规律如下(图 2):①沿集中荷重作用线向下,ΔPz迅速减小;②表面以下任一水平面上的ΔPz呈钟形分布,中心最大,向两侧无限延伸并衰减;③=常量的诸点连成的卵形封闭曲

图2 垂直律中荷重下的垂直应力分布

线为ΔPz的等值线,称压力泡。

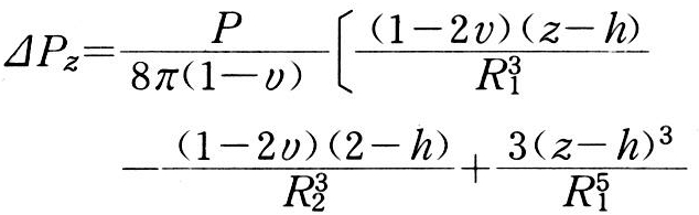
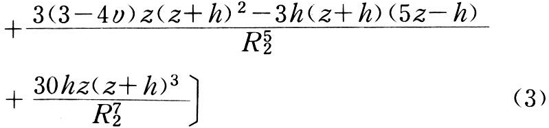
图3 垂直集中荷重作用于半无限体内部

塞 蒂(V. C e rru ti)曾得到水平集中荷重H 作用时(图1中将垂直力P 换成水平力H)M 点的垂点附加应力为:

地基中的应力

明德林(R.D.Mindlin)得到垂直集中荷重P 作用于半无限体内部h深度处时的垂直附加应力为(图3):

地基中的应力

地基中的应力

式中 v为土的泊松比。

实际基础具有各种形状和荷重分布。假设为柔性基础,则分布荷重下的附加应力可利用上述集中荷重解和叠加原理求得。即按图4,将荷重面A 分成若干小面积d A,视其中分布荷重的合力d p=qd A 为集中荷重,分别求其对M 点的应力,然后叠加。通过积分求得的各种情况下诸应力分量的解答已制成计算图或表,可查阅有关教材或手册。

图4 用叠加法求分布荷重下一点的应力

非线性、非均质、各向异性和土体已进入塑性状态时的地基应力计算已获得部分结果,总的表明,这些情况的垂直应力与布氏相近,但水平应力则视具体条件而不同程度地偏离布氏解。

计算附加应力需依据建筑物基础底面作用于地基面的接触压力,后者也是基础结构设计中的主要外荷重。接触压力分布取决于基础和地基的刚度以及两者间的共同作用。该压力计算按基础刚度分别考虑:①绝对柔性基础的接触压力分布与外荷重分布相同;②绝对刚性基础按弹性理论位移解计算。工程实用上则按材料力学中杆件偏心受压公式计算,压力呈直线分布;③有限刚度基础用弹性地基梁或板的解法确定。