登录| 注册    
收藏  点赞 

地力学模型试验

模拟岩基地质构造面,重点研究混凝土坝岩石地基和地下开挖面的破坏形状和破坏机理的结构模型试验。模型的岩石部分,既要反映主要地质构造,又应包含一定范围。其力学性能,要满足有关相似条件。由于模型费用较高,试验周期长,只用于断层裂隙较多的重要工程。地力学模型于60年代首先在意大利“贝加木”(IS-MES)模型与结构试验研究所创用,其他国家采用较少。

模拟岩基地质构造面,重点研究混凝土坝岩石地基和地下开挖面的破坏形状和破坏机理的结构模型试验。模型的岩石部分,既要反映主要地质构造,又应包含一定范围。其力学性能,要满足有关相似条件。由于模型费用较高,试验周期长,只用于断层裂隙较多的重要工程。

地力学模型于60年代首先在意大利“贝加木”(IS-MES)模型与结构试验研究所创用,其他国家采用较少。中国自70年代末开始从事该项研究工作,为拱坝坝肩稳定地下洞室做了几个地力学模型试验。

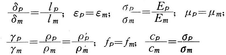
模型将岩石部分视为若干切割岩块所组成,由若干规则的砌块来模拟。砌块的某些表面,即代表节理裂隙面。将这些块体逐层砌筑,主要地质构造应与原型相似。构造面上的物理力学指标,应通过若干材料试验进行选择,使满足下列相似要求。地力学模型相似条件有:

地力学模型试验

式中 lp,lm为原型和模型的尺度;σp,σm,εp,εm,δp,δm为原型和模型的应力、应变和变位;Ep,Em,μp,μm为原型和模型的弹性(或变形)模量和泊松比:γp,γm为原型和模型的侧压当量液体容重;ρp,ρm,ρp,ρm为原型和模型的结构和地基的材料密度;fp,fm,Cp,cm为原型和模型地基构造面的摩擦系数和粘着强度。

为了模拟材料的容重,块体可用重晶石粉等作为掺合料,容重可达3.0吨/米3以上。块体间可用电容纸、薄膜塑料、腊纸、甘油等接合,使之满足后两种相似条件。断层充填物可用石膏、淀粉、软胶等来模拟。

用几个橡胶袋装液体施加分块面力。液体压力强度,用与其相连的液箱高度来控制。也可用千斤顶施加集中力,来代替分布面力。地基的自重,以块体的自重来实现。用千分表或其他微型位移计量测变位,还可量测砌块间的相对位移。模型在加荷过程中,若发现变位读数突然增加,说明模型已局部破裂。读出此时侧压容重,它与设计值γm之比,即为破坏安全系数。

参考书目

E.Fumagalli,Statical and Geotechnical Modeis-els,Spr-inger Verlag/Wien,1973.