登录| 注册    
收藏  点赞 

防冲槽

设于水闸、溢流坝等泄水建筑物上游护底前端,特别是下游海漫末端的防冲设施。其结构为挖槽抛石形成的稜体。当上下游河床遭受冲刷时,防冲槽中的抛石坍落在临近建筑物一侧的冲坑边坡上,使边坡不进一步发展,以保证上游护底,特别是下游海漫的安全(见图) 防冲槽 防冲槽设计在于确定槽深及槽内抛石体积(抛石所用块石直径一般不小于30厘米)。为此,首先应根据水流性态及河床土质估算河床最大冲刷深度。

设于水闸、溢流坝等泄水建筑物上游护底前端,特别是下游海漫末端的防冲设施。其结构为挖槽抛石形成的稜体。当上下游河床遭受冲刷时,防冲槽中的抛石坍落在临近建筑物一侧的冲坑边坡上,使边坡不进一步发展,以保证上游护底,特别是下游海漫的安全(见图)

防冲槽

防冲槽设计在于确定槽深及槽内抛石体积(抛石所用块石直径一般不小于30厘米)。为此,首先应根据水流性态及河床土质估算河床最大冲刷深度。由于目前还没有精确地计算冲刷深度的公式,工程中常根据具体情况运用经验公式加以估算。

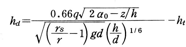
中国南京水利科学研究院提出计算海漫下游冲刷坑深度的公式如下:

防冲槽

式中 q为海漫末端的单宽流量;h为海漫末端水深;z为海漫末端流速分布图中最大流速的位置高度,当流速分布均匀时,z=0.5h;α0为海漫末端流速分布的动量修正系数;ht为下游水深;d为床沙粒径(用d50);γs、γ分别为床沙和水的容重。

如无海漫末端流速分布资料,α0z可按下表查用:

附表

当海漫末端的河道已展宽时,冲刷坑内最大单宽流量qm将大于海漫末端的平均单宽流量q,如按上述公式计算冲刷坑深度,则应以qm代替q0,qm与q的比值(qm/q)为:①下游翼墙扩张角度适宜,有较好的消能工,水流扩散较好,无回流的情况:qm/q=1.05~1.5;②翼墙扩张角度不适宜,消能工不强,水流扩散不良,有回流的情况:qm/q=1.5~3.0。

冲刷坑的形状近似为一不对称三角形,临近建筑物一侧平均坡度为1∶3~1∶6(即坑底距海漫末端约为3~6倍冲刷坑深度);远离建筑物一侧平均坡度为1∶10或更缓。

根据以上计算所得的冲刷坑深度往往很大,防冲槽不宜采用与此相同的深度,否则挖方量巨大,施工也十分困难。中国大多数工程采用宽浅式防冲槽方案,即防冲槽顶宽较大但深度较浅,对于土质河床,挖槽深度一般采用2.0~3.0米。至于抛石体积,则根据下游河床冲至最深时,槽内石块坍落在冲坑上游坡面形成护面所需的方量确定。