登录| 注册    
收藏  点赞 

高速水流观测

在溢流坝面、溢洪道陡坡段、挑流鼻坎等流速较高的部位埋设观测设备,对过流时产生的掺气、空化和压力脉动等现象进行的量测。目的在于分析判断高速水流对泄水建筑物的影响。为了及时掌握高速水流对建筑物的作用,对运行中泄水建筑物上的高速水流,都要进行现场观测,以便及时发现问题,制定有力措施,为正确的管理运用工程提供可靠的依据。高速水流观测的内容主要有:掺气量、空化强度与空蚀现象、压力脉动及建筑物的振动。

在溢流坝面、溢洪道陡坡段、挑流鼻坎等流速较高的部位埋设观测设备,对过流时产生的掺气、空化和压力脉动等现象进行的量测。目的在于分析判断高速水流对泄水建筑物的影响。为了及时掌握高速水流对建筑物的作用,对运行中泄水建筑物上的高速水流,都要进行现场观测,以便及时发现问题,制定有力措施,为正确的管理运用工程提供可靠的依据。高速水流观测的内容主要有:掺气量、空化强度与空蚀现象、压力脉动及建筑物的振动。为了分析情况的需要,还应进行高速水流的流速及平均压力的观测。观测的方法主要是采用相应的电测仪器,有时也辅以目测、录相、摄影等手段。

发展概况 中国高速水流观测始于20世纪60年代。70年代以来,多次组织开展大规模高速水流的观测研究工作。如新安江水电站、乌江渡水电站、碧口水电站以及冯家山泄洪洞等高速水流观测,取得了有指导生产意义的成果。如通气槽下游的水流中掺气3%即可达到减免空蚀的作用、厂前挑流泄水时小流量砸厂房顶不会引起建筑物的破坏等都是通过观测所取得的。

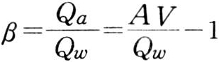
水流掺气观测 高速水流掺气以后形成气水混合体,呈乳白色。这种现象至今尚不能在室内模型中重演,主要靠原型观测取得定量的资料。掺气水流多发生在坝面溢流、鼻坎挑流、泄水道的通气槽后水流中,是挑流鼻坎后的掺气水流,在现场观测中主要是量测水流中的掺气量。确定掺气量的方法有两种:①利用一般观测方法量测出掺气水流的水面线和流速,用下列公式来估算水流中空气的百分数,

高速水流观测

式中 Qa为水中的空气流量;Qw为水流量;A为利用量测出的水面线计算出的断面面积;V为断面平均流速。在溢流坝面上、溢洪道泄槽中多采用这种方法。②利用电测仪器直接量测出水流中的掺气量。

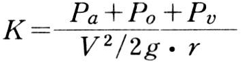
空化与空蚀观测 高速水流中的空化和由此而引起的空蚀破坏现象(见空化与空蚀),过去多用目测、耳闻,有时只能在停止泄水以后进行检查,如有空蚀破坏时,可以用石膏等材料脱模,计算出剥蚀下来的混凝土量,同时辅以绘图描述其空蚀的部位和剥蚀深度,为工程的修复提供参考。近年已多采用空穴探测仪或水听器等电测仪器进行观测。它的工作原理是当水流空化后,水中空泡在建筑物边界上溃灭时,导致边界破坏,这时高频压力脉动以超声波形式向外传播。当水流中发生空化时,其噪声级有明显地跳跃,这种噪声讯号比一般非空化水流的噪声高得多,利用超声换能的原理来探测空穴发生时超声强度的变化,借以判断是否存在空穴。这种方法可以在泄水过程中进行,只要将仪器的感应部分置于泄水建筑物的边壁上,就可以由接收部分记录出是否有空蚀破坏。如果没有这种仪器,也可以在建筑物表面设置流速仪或毕托管,量测出高速水流的流速,用空穴指数K来预先判断是否可能产生空穴。产生空穴的指数K由下式估算:

高速水流观测

式中 Pa为当地大气压力;Po为估算部位的实际水压力;Pv为当地的蒸汽压力;r为水重;V是现场观测到的实际流速;g为重力加速度。空蚀破坏常常发生在扩散段、弯道、岔管、消力墩等水流分离部位,在埋设仪器时,应特别注意这些部位。

压力脉动观测 水流的压力脉动是引起建筑物振动和空蚀的主要原因,因此在高速水流观测中必须观测压力脉动,其观测方法多采用电阻式压力脉动感应器和示波仪或磁带记录器,记录的时间一般不能少于10秒钟。脉动压力是一种随机荷载,将记录下来的成果输入频谱分析仪,即可得出所需要资料。脉动压力通常用四种特征值来表示:均方差、功率谱密度函数、自相关函数和概率密度函数。根据多年观测结果表明,溢流坝面或溢洪道中高速水流的脉动压力,一般为流速水头的5%,不会危及工程安全,但是在大波动或大旋滚部位,如水跃区的脉动荷载是相当大的,常常在流速水头的20~40%,应特别注意观测。

建筑物振动观测 泄水建筑物过流时,可能引起建筑物的振动,通常采用位移计和加速度计进行观测。当泄水时将仪器置于建筑物边壁上(如闸门或坝体内),通过放大部分将振动波讯号送入示波仪式磁带记录仪器。振动波是随机性的,分析资料的方法多采用将非周期性的波动视为周期T→∞的福里哀级数的极限,然后用特制的快速福里哀变换(FFT)随机数据处理程序来计算,其结果主要是振动强度均方差及频谱密度函数。在脉动荷载作用下,建筑物振动的动力反应谱在结构的自振频率上,将会产生峰值,利用这个谱特性作为现场观测建筑物动力特性的方法。

高速水流观测结果,要根据各项目规定的表格进行记录,还要记录当时的天气、风力、风向、闸门开启的各种组合情况,开启闸门的时间、观测历时等。同时应摄制电影或录相,作为以后整理资料的辅助资料。