登录| 注册    
收藏  点赞 

河工模型试验

将河流按相似原理缩成模型,在模型内研究各有关因素(水流,地形)在不同情况下变化的一种手段。由于在天然情况下和兴建工程后河道变形的过程是异常复杂的,许多河床变形和河道整治问题,往往很难直接用分析研究和计算的方法求解,而利用模型试验则可能直接方便的解出。河工模型试验是研究河道水流和河床变形的重要手段之一。模型的分类 河工模型试验可分为定床和动床两大类。

将河流按相似原理缩成模型,在模型内研究各有关因素(水流,地形)在不同情况下变化的一种手段。由于在天然情况下和兴建工程后河道变形的过程是异常复杂的,许多河床变形和河道整治问题,往往很难直接用分析研究和计算的方法求解,而利用模型试验则可能直接方便的解出。河工模型试验是研究河道水流和河床变形的重要手段之一。

模型的分类 河工模型试验可分为定床和动床两大类。模型水流为清水,在水流作用下河床不发生变形的称为定床模型;模型水流挟带泥沙,在水流作用下河床发生冲淤变形的称为动床模型。定床模型的河床常用水泥沙浆制作,动床模型的河床常用天然沙或轻质沙(如煤粉、木屑、塑料沙、胶木粉等)制作。原型河床变形不显著,或虽有变形但对所研究问题影响不大,如研究流态,主流线的变化和汊道分流比变化等问题,往往可以采用定床模型。河床变形显著或要了解河道冲淤情况时,则要采用动床模型。定床模型只涉及水流因素,要求的相似条件较少,容易满足。动床模型除水流因素外还要满足泥沙运动相似条件,由于目前对泥沙运动的规律认识还不够,模拟技术和材料等方面也都还存在着问题,因而很难完全满足各种相似条件。

按照模型几何形状,可以将河工模型分为正态和变态两种。正态模型其几何形态与原型完全相似。但常常由于场地、供水能力以及模型流态等条件限制,不得不采用水平方向是一个比尺,水深方向是另一比尺的变态模型。

河工模型必须根据相似原理来设计。只有与原型相似,才能将模型试验的成果引伸到原型中去。河工模型研究的是水流结构,泥沙运动和河床变形。模型和原型相似属力学相似的范畴。它要求模型和原型在几何、运动和动力三方面相似。即模型和原型对应部位的线性尺度成同一比例;相应点的速度和加速度方向相同,大小成同一比例;相应点上同性质的力方向相同,大小成同一比例。在模型和原型中符合上述三方面要求的水流称为相似水流。

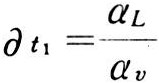
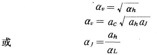
定床模的相似条件 应满足水流运动相似

河工模型试验

以上各式中 αv为原型与模型的流速比尺;αh为水深比尺;αc为谢才系数比尺;αJ为水面比降比尺;αL为平面(长、宽)比尺。

对于正态模型,只要满足上述两个条件,模型内的流速场和压力场就能达到相似。变态模型满足上述二条件后,一般能达到渐变流运动及横比降的相似,只有在河道较顺直时,才能达到平面流动的相似。纵向流速及横向环流流速沿垂线分布的相似条件是αL=αh和αc=1,因此只有在正态模型内才能完全满足。随着河道曲率和模型变率的增加,模型中的水流沿河宽分布和底流方向将与原型发生偏离,其偏离程度与河道曲率和模型变率成正比。变率愈大,回流结构及涡旋等局部水流相似性也愈差。因而模型的变率应尽可能小为宜。在有泄水建筑物的模型最好作成正态。

模型与原型是假定在水流流态相同条件下进行的。因而必须保证都处于紊流状态,同处于阻力平方区,同处于缓流或急流,同时不应使模型水深太小,以防止表面张力起干扰作用。一般规定模型水深应大于1.5~3.0厘米。如果原型具有表面波。而模型也要求有表面波显示时,则模型表面流速应大于23厘米/秒。

动床模型的相似条件动床模型除了应满足水流的相似条件外,尚需满足河床变形相似,因而还必须补充以下相似条件:

泥沙起动相似

αv=αvo

输沙能力相似

αp=αp*(或αs=αs*

冲淤时间相似

河工模型试验

对于推移质泥沙模型,满足上述条件已足够。悬移质泥沙模型,还应满足下列条件:

泥沙沉降相似

河工模型试验

泥沙悬浮相似

ω=αkαu

αλ=1

对于不稳定流需满足

河工模型试验

异重流时,还应满足下列条件:

异重流的发生相似条件(即异重流的的佛劳德条件)

河工模型试验

异重流的阻力相似条件

河工模型试验

以及

αv=αvc

上述各式中 αv0为泥沙的起动流速比尺;αp推移质输沙量比尺;αp*推移质输沙率比尺;αs悬移质含沙量比尺,αs*悬移质挟沙力比尺;αr0为河床淤沙干容重比尺;αω为泥沙沉降速度比尺;αk为卡门常数比尺;αu*为切力速度比尺;αλ为阻力系数比尺;αvc异重流速度比尺;为泥沙容重比尺;αg为重力加速度比尺,αg=1;αλm异重流综合阻力系数比尺。

从上述可以看出,动床模型试验要求的相似条件很多,在实践中很难一一满足,因此必须抓住主要因素。

模型的验证不论定床和动床模型设计制造完成后,均需要进行验证试验,以原型资料为准来调整模型有关数据,直到认为取得满意的精度后,才能开始正式试验。