登录| 注册    
收藏  点赞 

河相关系

相对稳定的河床形态与来水,来沙和河床组成(地质)等因素之间的关系。它可作为预测冲积河流河床变形和河道整治规划的依据。由于河流来水量和来沙量在不停的变化,为建立河相关系必须找到一个代表性流量,即所谓的造床流量。它应是与多年流量过程综合作用相当的某一级流量。最大洪水流量对河床作用强烈,但历时短,因而造床作用不是最大;枯水流量历时长,但流量小,造床作用也不是最大。

相对稳定的河床形态与来水,来沙和河床组成(地质)等因素之间的关系。它可作为预测冲积河流河床变形和河道整治规划的依据。由于河流来水量和来沙量在不停的变化,为建立河相关系必须找到一个代表性流量,即所谓的造床流量。它应是与多年流量过程综合作用相当的某一级流量。最大洪水流量对河床作用强烈,但历时短,因而造床作用不是最大;枯水流量历时长,但流量小,造床作用也不是最大。因而,造床流量应该是一个比较大,又不是最大的一级洪水流量。如何确定造床流量,在理论上还不成熟,一般可采用与平滩水位相应的流量作为造床流量,其中与河漫滩相齐平水位的流量也称第一造床流量,与边滩相齐平水位时的流量也称第二造床流量。还可采用输沙能力与其历时乘积为最大时的流量,作为造床流量。

河床纵断面的河相关系 很多人直接寻求河床纵比降与水力、泥沙因子间的经验关系。如中国黄河干支流的关系J=3.5d1.3,长江荆江段的关系J=3.861d2.381,式中J为河床纵比降,以百分率计;d为床沙粒径,以毫米计。

河床横断面的河相关系,苏联国立水文研究所研究得出下列经验关系

河相关系

式中 B为平滩水位时相应的河宽;H为平滩水位下的平均水深:ε为由实测资料统计的系数,中国长江荆江弯曲型河段ε=2.23~4.45,黄河高村以上游荡型河段ε=19~32,高村以下过渡河段ε=8.6~12.4。

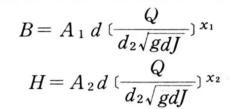
苏联学者维里康诺夫(M.A.Всликанов)认为,河床断面形态决定于流量、比降和河床质粒径三个因素,利用因次分析求得河相关系式

河相关系

式中 Q为流量;A、x为相应的系数和指数。根据中国长江荆江河段的资料A1=1.16,A2=0.163,x1=O.386,x2=0.311。

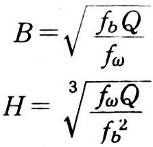
布伦奇(T.Bleneh)考虑了河岸与河底抗冲性的不同提出

河相关系

式中 fb为河床系数,根据实测资料分析确定,或按fb=1.9估算;fw为侧壁系数,对于松散河岸、壤土河岸、坚实的粘土河岸,其值分别为0.1、0.2和0.3。除d以毫米计外,式中长度单位为英尺,时间单位为秒。

弯道平面形态的河相关系 稳定的弯道是河流为适应其来水来沙条件而自动形成的。因此,弯道的平面形态特征与来水来沙和边界条件之间存在着密切的关系。

一些研究者建立了弯道的平面形态和河宽的关系得出

R=KRB;

Lm=KLB;

Tm=KrB

式中 R、Lm、Tm、B分别为弯道的弯曲半径,弯顶距、摆幅及过渡段河宽。根据实验室及现场资料分析,大多数稳定的弯道,

KR=3~5、

KL=12~14,

KT=4~5.

也可建立弯道平面形态与流量的关系。考虑到河弯弯曲半径愈大则其中心角愈小,因此又有一些关系式将弯曲半径、中心角及河宽(或流量)联系在一起。中国长江中下游干支流有

R=0.0588Q0.51

河相关系

式中 φ为中心角,以弧度计。

有的关系式还考虑了与比降的影响,如

河相关系

中国的黄河和永定河取K=10,中国的荆江及南运河取K=3。

河床稳定性指标 了解某一河段是否稳定,也可用有关指标进行判断:①纵向稳定指标。许多人认为河床稳定性决定于水流对泥沙颗粒的作用力与河底泥沙抵抗运动的力之间的对比关系,例如,提出,显然K1值愈小愈不稳定,根据中国一些实测资料,长江荆江弯曲型河段:K1=2.9~4.1;黄河高村以上游荡型河段K1=0.31~0.43,高村以下过渡性河段K1=0.42~0.54②横向稳定指标。可用苏联学者阿尔图宁(С.Т.Атунин)河相关系式的系数来表示。

河相关系

K2愈大愈不稳定,也称横向活动性指标。长江荆江弯曲型河段,K2=0.64~1.15,黄河高村以上游荡型河段K2=2.23~5.41。

已有的河相关系式都是经验的。在工作中应以本河流或与其自然条件相似的河流上实际资料进行验证,求出公式中的系数和指数。