登录| 注册    
收藏  点赞 

挤密土桩法

地下水位以上采用。用振冲法作成的碎石桩,也具有挤密基土的作用,也属于挤密土桩的一种。挤密桩的直径、间距和长度,应根据建筑物地基的设计挤密标准,结合地质情况,通过必要的现场试验与计算确定。挤密后的复合地基

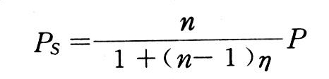
用土桩挤密较深厚的松软地基的方法。施工方法是:将下端装有活瓣的钢管打入或振入地基预定加固的深度内,使周围基土受挤,然后一面上提钢管使管端活瓣张开,一面向管中灌注砂砾料,利用水冲或振动钢管,使砂砾料下落,并得到压实,直到钢管拔出地面为止,形成一根连续的砂桩,称为挤密砂桩。若砂砾料缺乏,也可用旋转钻机在地基中开孔,回填适用的当地粘性土料压实成桩。显然,这种土桩对周围基土的挤密效果较差,而且只能在地下水位以上采用。用振冲法作成的碎石桩,也具有挤密基土的作用,也属于挤密土桩的一种。挤密桩的直径、间距和长度,应根据建筑物地基的设计挤密标准,结合地质情况,通过必要的现场试验与计算确定。挤密后的复合地基,由土桩与挤密的基土共同担负荷载。土桩担负的荷载Ps一般按下式估算:

挤密土桩法

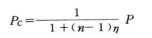
由桩间基土担负的荷载Pc一般按下式估算:

挤密土桩法

式中 n=Ps/Pc,称为荷载分配比,由荷载试验确定,挤密砂桩的n值一般为3~5;η为挤密桩断面与每根桩所分担的挤密面积之比,称为挤入面积比。要求Ps≤[Rs],[Rs]为挤密土桩的容许承载力;Pc≤〔Rc〕,〔Rc〕为挤密后基土的容许承载力。挤密后复合地基的沉降量与未挤密前地基沉降量之比,一般为

挤密土桩法的施工速度快,挤密砂桩与碎石桩都兼有加速水平向固结排水的作用。