登录| 注册    
收藏  点赞 

明槽非恒定流

天然河道或人工渠道中流速、水深等水力要素都是时间t和位置s的函数的水流运动。如在暴雨期间地面径流的变化;堤坝溃决时及潮汐河口和感潮区排灌河网中的水流运动;渠道中各种节制闸门的调节,一般灌排渠道突然停水或突然放水,及日调节水电站引水渠、尾水渠中等水流运动,都是非恒定流。明槽非恒定流是一种具有自由水面的波动现象,属于水波中的位移波

天然河道或人工渠道中流速、水深等水力要素都是时间t和位置s的函数的水流运动。如在暴雨期间地面径流的变化;堤坝溃决时及潮汐河口和感潮区排灌河网中的水流运动;渠道中各种节制闸门的调节,一般灌排渠道突然停水或突然放水,及日调节水电站引水渠、尾水渠中等水流运动,都是非恒定流。

明槽非恒定流是一种具有自由水面的波动现象,属于水波中的位移波,即在波形(瞬时水面线)向前传播的同时,水流质点也向前移动,并具有相对波长L/h>20(L为波长、h为水深)的特征,属于浅水长波。其中波动发生过程比较缓慢,其瞬时水面的坡度极缓。瞬时流线近于平行直线的称非恒定渐变流,这种流动可认为压强沿垂线为静压分布,其水力要素是位置和时间的连续函数,称为连续波,如河流中的洪水波、水电站调节所引起的非恒定流均属于此类。反之,当波动发生过程很迅速,在一定断面上水深和流量的变化急剧,瞬时水面线坡度很陡,甚至具有阶梯的形状,则水力要素不是位置和时间的连续函数,则称为不连续波或断波,这种流动叫做非恒定急变流。

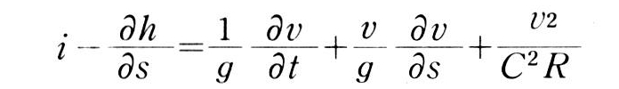
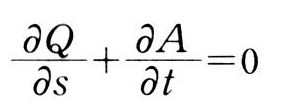
明槽非恒定流的研究开始于18世纪后期,拉格朗日(J.L.Lagrange)于1781年首先提出浅水中波速,并于1788年创立浅常水深中的水波理论。法国圣维南(De Saint-Venant)于1871年正式提出了一维非恒定渐变流的基本方程组,称为圣维南方程组,其中连续方程为

明槽非恒定流

运动方程为

明槽非恒定流

式中 Q为流量;A为过流面积;s为距离;t为时间;i为明槽底坡;h为水深;v为流速;C为谢才系数;R为水力半径。对不同河渠形态,可采用不同的因变量,则圣维南方程组具有不同的基本形式。在解决二维问题如河口潮流计算时,则需采用二维非恒定流方程组。

解决明槽非恒定流问题有水力模型法、电拟模型法、数值解法等。在数值计算中,有些方法将基本方程作了大量简化,例如最后只由连续方程体现流动非恒定性质的运动波(如洪水波计算的瞬态法);忽略全部惯性力、但考虑波体的变形和衰减的扩散波(地下水非恒定流计算);不考虑阻力和底坡影响的惯性波(溃坝波)等,在运动方程中作用力全部考虑的动力波其求解方法有图解法、诺模图法、逐步逼近法和1950年林秉南提出的等时段法等。

数值解的主要方法有直接差分法和特征线法及有限元法等。

非恒定急变流由于影响因素较为复杂,多采用模型试验和电算相配合的方法,并采用二维模型用有限差或有限元法进行计算。