登录| 注册    
收藏  点赞 

墒情预报

当土壤含水量降至作物要求的下限时,作物因吸收不到足够的水分,生长受到抑制,甚至凋萎和死亡。反之由于降水过多,田面积水而形成涝灾。或由于阴雨连绵地下水上升到根系层而引起土壤过湿、形成渍害而危及到作物的生长发育。根据土壤含水量的变化规律,对照农作物不同生育期的适宜含水量标准,可分析出干旱或涝渍的程度,为抗旱防旱,除涝防渍等提供科学依据。墒情预报方法

又称土壤含水量预报。根据现时的土壤含水量及气象、水文信息,对农作物根系层中未来的土壤含水量的消退和增长等演变规律,以及垂直分布进行预测,以合理利用和调度水资源

适宜的土壤含水量是作物生长发育的必要条件之一。土壤含水量因受到外界的大气环境、农业措施、作物的品种和生育期、水文地质条件以及土壤本身的特性等因素影响而随时变化。一般可分为增墒和消退两个过程:当降雨少,而农作物的蒸散发量大时,地下水埋深大,造成减墒。当土壤含水量降至作物要求的下限时,作物因吸收不到足够的水分,生长受到抑制,甚至凋萎和死亡。反之由于降水过多,田面积水而形成涝灾。或由于阴雨连绵地下水上升到根系层而引起土壤过湿、形成渍害而危及到作物的生长发育。根据土壤含水量的变化规律,对照农作物不同生育期的适宜含水量标准,可分析出干旱或涝渍的程度,为抗旱防旱,除涝防渍等提供科学依据。

墒情预报方法,有下列几种。

单站墒情预报 以一个具有代表性的墒情测报站的墒情,预报相同条件下多处墒情的变化。其中有:

水量平衡法 在未来的一段时间内,当地土壤中的水分情况可用水量平衡方程表示:

⊿P∑f-fG

∑fP-I

⊿PP-IG

式中⊿P为时段初和时段末的土壤含水量变化值(毫米);∑厂为时段总下渗量(毫米);f为时段通过农作物根系层底部的深层下渗量(毫米);E为时段农田的蒸散发量(毫米);P为时段降水量(毫米);I为时段作物截留量(毫米):R为时段径流深(毫米);G为时段通过毛管上升进入根系层的地下水量(毫米)。

上述公式,当不产生地面径流和时,可简化为

⊿PP-E

图解法 有的地区在大量实测资料的基础上,把降水量以及用月份反映作物的生育期作出计算时段前期土壤含水量与后期土壤含水量的四变数合轴相关图。预报时可直接查图(见图)。

前后期土壤含水量关系曲线图

经验公式法 在无降水时,可用下列经验公式,求时段末的土壤含水量。

PaP0b

式中P为时段末的土壤含水量;P0为时段初的土壤含水量;ab为常数,根据实测资料确定。

区域墒情预报 为全面了解区域内未来墒情分布情况,需进行大面积的墒情预报。在一个自然条件相近的区内,土壤、地貌以及种植的作物相近,可将各单站的墒情预报相关曲线综合起来,即可进行区域预报。也可将各站的墒情相关因素加以分析,总结出不同地区的经验公式。以山西省为例,总结出在无降水条件下的预报公式如下表。

山西省部分地区的墒情预报公式

也可应用下列经验公式,预报天气久旱无雨,墒情减少的程度。

PP

式中e为自然对数的底;β为系数;可以根据各地的实测资料,总结出当地的β值,汁算求得某一时刻的土壤含水量值。

土壤水分运动模型法 当已知蒸散发强度和降雨量时,就可利用土壤水分运动方程,求得某一时刻,土壤剖面上的墒情分布。

墒情预报

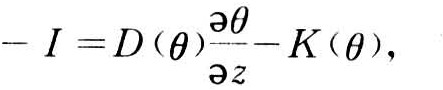
当已知初始土壤含水量,即t=0时,θθ,就可求得在降雨情况下:即t>0,z=0时,地表处的下渗率(I)为:

墒情预报

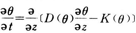
与上式联立即可求得增墒过程。在蒸散发的条件下,已知土表面的蒸散发强度E,即t>0,2=0时;

墒情预报

与上式微分方程联立,求解任一时刻的墒情过程。

式中θ为土壤含水量;Dθ)为土壤水扩散度:z为竖直坐标,原点在土表面,竖直向下;Kθ)为土壤水水力传导度。

根据上述预报结果,对照农作物所要求的适宜含水量,可确定出作物受旱、涝、渍的程度。

目前,由于对墒情的演变规律还掌握得不够,及有关下渗、蒸发的基础理论的研究有待进一步深化。加之墒情的变化受多种因素的影响,用上述诸方法预报墒情都有一定的局限性。