登录| 注册    
收藏  点赞 

水电站调节保证计算

验算水电站过水系统压力变化和机组速率变化是否符合要求的计算方法。机组负荷的突然变化,不仅影响机组和蜗壳等的受力情况,而且影响电站的运行,有时甚至影响电站的总体布置。调节保证计算就是计算变化参数和选择机组的合理调节时间和最优调节规律,以保证机组投入运行后所发生的最大速率上升值和最大水压上升值不超过允许值。机组甩负荷后的最大速率上升值β,是调节保证计算的重要指标之一。

验算水电站过水系统压力变化和机组速率变化是否符合要求的计算方法。机组负荷的突然变化,不仅影响机组和蜗壳等的受力情况,而且影响电站的运行,有时甚至影响电站的总体布置。调节保证计算就是计算变化参数和选择机组的合理调节时间和最优调节规律,以保证机组投入运行后所发生的最大速率上升值和最大水压上升值不超过允许值。

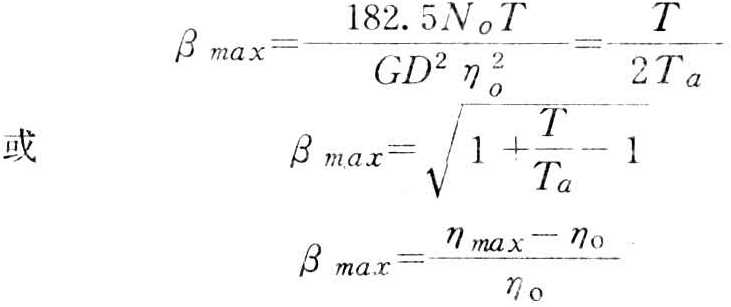
机组甩负荷后的最大速率上升值β,是调节保证计算的重要指标之一。初步计算时可用以下计算公式:

水电站调节保证计算

式中η为机组额定转速(转/分);N为机组额定容量(千瓦);GD2为机组飞轮力矩(吨力·米2);T为升速时间(秒);T,为机组时间常数(秒)。

上述计算公式是世界上大量βm值计算公式的基础。目前至少有几十个此类计算公式。

调节保证的计算标准,是指压力变化和转速变化在技术经济上合理的允许值。这种标准在技术规范中有所规定。压力变化的计算标准:①压力升高,压力过水系统末端的允许相对压力升高值ξ主要根据经济原则制定。目前一般采用下列数值,当水头H>100米时,ξ=0.15~0.30;当H=40~100米时,ξ=0.30~0.50;当H<40米时,ξ=0.50~0.70;当设置调压阀时,ξ≤0.20。②压力降低,在压力过水系统内任何位置不允许产生负压,且应有2~3米的余压。尾水管进口的允许最大真空度为8~9米水柱。转速变化的计算标准,目前对甩满负荷时机组速率上升值β的允许值(标准)争论较多,这是有其历史原因的。一方面是因为在有关β允许值的文献中,没有详细阐明过制定标准依据的理由;另一方面,β允许值又在变动之中。在20世纪40年代以前,世界各国对机组转速上升值,建议不超过20~25%,甚至更低些。随着科学技术的发展,逐步有所提高。40年代后期,提高至30~40%,一直沿用至60年代。从70年代开始,又有所提高。例如苏联《1970年水电站设计规范》规定β≤60%;美国垦务局1971年编制的《水轮机设计标准》规定为65%。对β值不加限制的方案正在探讨之中。

在调节保证计算和分析中,可按具体情况的需要采取以下措施:①增大管径,减小流速,以减小水击压力:②设置调压室;③设置调压阀;④采用导叶分段关闭措施,亦即选择最优调节规律:⑤加大机组的飞轮力矩等。⑥设置水阻器或爆破膜(仅适用于小型水电站)等。

大中型水电站的调节保证计算,目前趋向于使用电子计算机,可以同时计算出水压和转速的变化过程及其最大值。