登录| 注册    
收藏  点赞 

水动力学

研究水流微团的轨迹、速度和加速度与作用在水流微团上各种力的关系的学科。在19世纪40年代以前水动力学只限于研究忽略液体粘滞性的理想水动力学。当计入由于液体的粘滞性而产生的阻力时,称为粘滞性水动力学。此时液体运动的微分方程称为纳维埃-斯托克斯方程,该方程是由纳维埃(M.Navier)于1823年提出

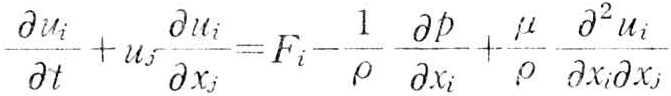
研究水流微团的轨迹、速度和加速度与作用在水流微团上各种力的关系的学科。在19世纪40年代以前水动力学只限于研究忽略液体粘滞性的理想水动力学。当计入由于液体的粘滞性而产生的阻力时,称为粘滞性水动力学。此时液体运动的微分方程称为纳维埃-斯托克斯方程,该方程是由纳维埃(M.Navier)于1823年提出,并由斯托克斯(G.G.Stokes)于1845年最后完成的。其形式为:

水动力学

式中表示单位体积的质量力;divp表示单位体积应力张量的散度。对于不可压缩流体,如水流,此式可进一步写为:

水动力学

对于忽略粘滞性的理想液体,上式可简化为欧拉方程:

水动力学

式中u为流速;F为质量力:ρ为液体密度;p为动水压强。

水动力学中研究的基本问题可分为两类:一类是当已知作用在液体上的力以及起始条件和边界条件时要求确定液体的运动情况;另一类则与此相反。