登录| 注册    
收藏  点赞 

水流连续方程

质量守恒定律在连续介质中的数学表示,是水流运动的基本方程之一。在水流中取一个相对于某个坐标系固定不变的任意体积,称为控制体。对于一个控制体来说

质量守恒定律在连续介质中的数学表示,是水流运动的基本方程之一。在水流中取一个相对于某个坐标系固定不变的任意体积,称为控制体。对于一个控制体来说,流入的质量与流出的质量之差等于控制体内的质量增量。连续方程有微分形式与积分形式两种类型:

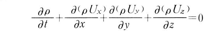
微分形式的连续方程 在直角坐标系中连续方程为:

水流连续方程

上式由达兰贝尔(J.L.R.d’Alembért)于1752年提出。

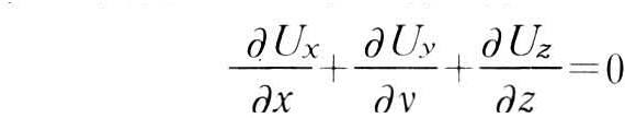
式中 ρ为密度,Ux、Uy、Uz为速度在x、y、z方向的投影。一般认为水流是均质的不可压缩流体,即ρ=常数,则上式可简化为:

水流连续方程

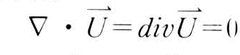
上式可用矢量表示成

水流连续方程

式中称为速度散度。水流连续方程即速度散度等于零。

积分形式的连续方程对于体积为V,表面积为s,表面的外法线方向为n的控制体,连续方积可表示成:

水流连续方程

圆管或明槽中的一维恒定流中,=0,仅有流段两端的过水断面有水流通过,故上式可简化成为水力学中最常用的连续方程式:

V1A1=V2A2

式中 A1和A2各代表流段两端的过水断面面积:V1和V2各代表相应断面上的平均流速。