登录| 注册    
收藏  点赞 

水流能量方程

表示水流运动过程中各种机械能量间相互关系的方程。是水力学中普遍应用的公式,也叫伯诺里方程。在理想液体恒定流动中,沿流线对欧拉方程式进行积分就可得到伯诺里积分: 水流能量方程 如果质量力只是重力,则力势函数W=-gz,伯诺里积分可写为: 水流能量方程 水流能量方程 上式称为伯诺里方程

表示水流运动过程中各种机械能量间相互关系的方程。是水力学中普遍应用的公式,也叫伯诺里方程。在理想液体恒定流动中,沿流线对欧拉方程式进行积分就可得到伯诺里积分:

水流能量方程

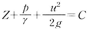
如果质量力只是重力,则力势函数W=-gz,伯诺里积分可写为:

水流能量方程

水流能量方程

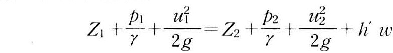
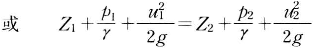
上式称为伯诺里方程,式中C为常数。它是能量守恒定律在水流运动中的具体体现。表示水流中单位重量液体的位能(z)、压能()和动能()之间的转化关系。对于实际液体,

水流能量方程

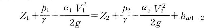
式中 h′w代表水流质点由1流动到2间单位重量液体的能量损失。对于实际液体恒定总流的伯诺里方程式,其形式如下:

水流能量方程

式中 α1、α2分别为所选的两个渐变流断面的动能修正系数(见图)。