登录| 注册    
收藏  点赞 

水体富营养化

含碳、磷、氮、硫等植物营养物质的污水,过多地排入流动缓慢的水环境中,使藻类及其它植物大量生长,而形成的污染现象。藻类的呼吸和死亡后的分解要消耗大量的溶解氧,影响鱼类等水中动物的生存;过盛的藻类使水浑浊或水味不良,影响工业及生活用水;藻类等被风浪带到岸边,腐烂发臭污染大气;藻类泛滥甚至可能使湖泊及海湾淤塞。

含碳、磷、氮、硫等植物营养物质的污水,过多地排入流动缓慢的水环境中,使藻类及其它植物大量生长,而形成的污染现象。藻类的呼吸和死亡后的分解要消耗大量的溶解氧,影响鱼类等水中动物的生存;过盛的藻类使水浑浊或水味不良,影响工业及生活用水;藻类等被风浪带到岸边,腐烂发臭污染大气;藻类泛滥甚至可能使湖泊及海湾淤塞。为防止水体富营养化或使已受污染的水环境恢复,需要研究水中营养物的含量和藻类生物量之间的关系。

水体富营养化的数学模型,通常用两种方法建立,即生态模型和磷的模型。前者利用生态平衡的基本方程找出营养品浓度和生物量浓度的关系。后者则抓住影响藻类生长最主要的营养品——磷,找出磷含量与生物量浓度的关系,通过控制磷的浓度来控制水体营养化的程度。一些湖泊恢复的资料说明,后者是一种可行而简便的方法。

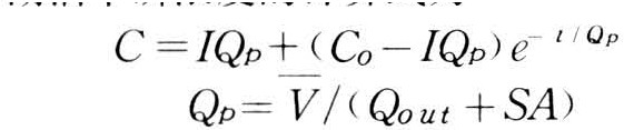
湖泊中磷浓度的计算式为

水体富营养化

式中 I为单位时间内磷的入湖浓度;Qp为磷在湖中的停留时间;Co为湖内磷的起始浓度;t为时间;为湖的蓄水体积;Qout为出湖流量;A为湖的面积;S为磷的下沉与从底部释放之间的速度差。

1974年狄龙(P.J.Dillon)及里格勒(F.H.Rigler)用经验统计法建立了水藻叶绿素浓度和磷浓度的关系。利用该关系可由磷负荷、磷的净沉积率及湖泊的水力条件估算湖中水藻叶绿素的浓度。