登录| 注册    
收藏  点赞 

水跃

明槽水流从急流状态过渡到缓流状态时水面骤然跃起的局部水力现象(见图)。水跃区的水流可以分为两部分:一部分是底部的主流区,流速由快变慢,水深由小变大。另一部分是表面旋滚区,水体翻腾滚动,饱掺空气。但是主流与表面旋滚不能截然分开,因为在两者交界面上流速梯度很大,水流内部产生强烈的摩擦混掺作用,紊动极为强烈,消耗大量的机械能。

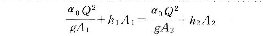
明槽水流从急流状态过渡到缓流状态时水面骤然跃起的局部水力现象(见图)。水跃区的水流可以分为两部分:一部分是底部的主流区,流速由快变慢,水深由小变大。另一部分是表面旋滚区,水体翻腾滚动,饱掺空气。但是主流与表面旋滚不能截然分开,因为在两者交界面上流速梯度很大,水流内部产生强烈的摩擦混掺作用,紊动极为强烈,消耗大量的机械能。水跃可有以下的作用:用于水工建筑物下游的消能,防止河床的冲刷;借助水跃的激烈紊动,使液体内部所含其他物质混掺均匀;城市供水系统水流的掺气和除气。在确定水跃区的范围时,通常将表面水滚的前端称为跃前断面,该处的水深称为跃前水深,用h1表示;表面水滚的末端称为跃后断面,该处的水深称为跃后水深,用h2表示。跃前与跃后水深的差称为跃高a,跃前和跃后两断面之间的距离称为水跃长度1n。平底无阻力棱柱形明槽的水跃基本方程可以由水跃区的动量方程求得为:

水跃

水跃

式中 Q为流量;α0为动量修正系数;A1和A2分别为跃前和跃后断面的过水断面积;g为重力加速度。水跃基本方程式把水跃前后断面的一些水力要素连系起来,当流量Q及断面形状固定时,该式的左边和右边各项都仅仅是水深h的函数,满足水跃基本方程的跃前和跃后水深称为共轭水深。

水流的弗劳德数(Fr)对共轭水深及水跃长度均有影响。随跃后水深大于、等于或小于下游尾水深的不同情况,可将水跃分为远驱水跃、临界水跃和淹没水跃(见建筑物下游水流衔接和消能)。