登录| 注册    
收藏  点赞 

水运动学

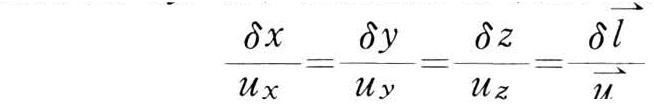
的运动要素表示为空间点的坐标(x、y、z)和时间(t)的函数。例如速度可表示为(x,y,z,t)。在直角坐标系中,其分量为: 水运动学 用欧拉法研究流动时常采用流线簇来表示流动情况。流线是流场中一条设想的曲线,同一瞬时位于曲线上所有各质点的速度矢量都在该质点所在位置与曲线相切。在流线上取一线段,在直角坐标系中其分量为δx、δy、δz

水力学的一个组成部分,它只从运动学物理量如位移、速度、加速度等方面研究水流运动,而不涉及作用力,即不研究运动产生和变化的原因。描述运动一般有两种方法:一种是以水流质点的运动特性作为研究对象,跟踪质点的运动过程,这种方法称为拉格朗日法。另一种是以水流通过的空间点上的运动特性作为研究对象,通过研究各空间点上水流运动的特征,进而得出整个流动情况,这种方法称为欧拉法。大多数水力学问题都采用欧拉法。欧拉法的运动要素表示为空间点的坐标(x、y、z)和时间(t)的函数。例如速度可表示为(x,y,z,t)。在直角坐标系中,其分量为:

水运动学

用欧拉法研究流动时常采用流线簇来表示流动情况。流线是流场中一条设想的曲线,同一瞬时位于曲线上所有各质点的速度矢量都在该质点所在位置与曲线相切。在流线上取一线段,在直角坐标系中其分量为δx、δy、δz,则流线方程可表示成:

水运动学

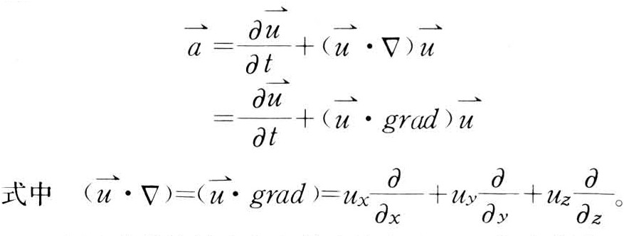
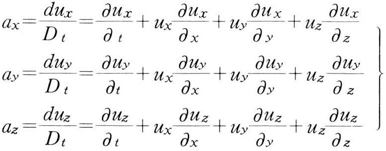
在运动要素不随时间变化的恒定流动中,流线与水流质点运动的轨迹线是重合的。用欧拉法描述运动时,加速度的表示式为:

水运动学

式中 第一项为当地加速度,反映流动的非恒定性,在恒定流动中当地加速度为零。式中其余各项为迁移加速度,反映流动的非均匀性。在各处速度都一样的流动中,迁移加速度为零。加速度可用矢量方程表示为:

水运动学

水运动学的基本方程是连续方程(见水流连续方程)。