登录| 注册    
收藏  点赞 

随机性水文模型

以概率统计学和随机水文学为基础的水文模拟的数学表达式。亦称不确定性水文模型。常用的随机性水文模型有:频率计算模型,回归模型和随机过程模型。频率计算模型 主要指频率曲线线型,以随机变数X的频率密度函数f(X)或频率分布函数F(X)的数学形式来表示。水文中常用的有:伽玛分布曲线,亦称皮尔逊Ⅲ型分布曲线,即 随机性水文模型 式中 α、β和α0为三个参数;г(α)为α的伽玛函数。

以概率统计学和随机水文学为基础的水文模拟的数学表达式。亦称不确定性水文模型。常用的随机性水文模型有:频率计算模型,回归模型和随机过程模型。

频率计算模型 主要指频率曲线线型,以随机变数X的频率密度函数f(X)或频率分布函数F(X)的数学形式来表示。水文中常用的有:

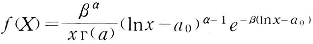
伽玛分布曲线,亦称皮尔逊Ⅲ型分布曲线,即

随机性水文模型

式中 α、β和α0为三个参数;г(α)为α的伽玛函数。

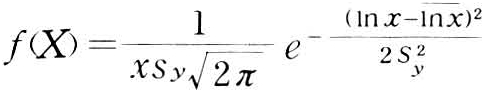
对数正态分布曲线,它以正态密度函数为基础,进行对数关系y=lnx转换而成。

随机性水文模型

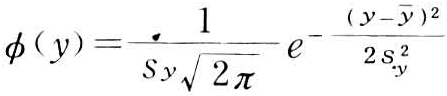
式中和sy分别为正态随机变数y的均值和均方差;φ(y)为y的频率密度函数。对数正态分布密度函数为

随机性水文模型

式中等于y,即lnx系列的均值。

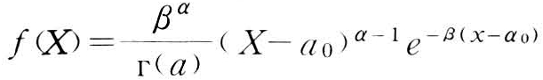
对数伽玛分布曲线,它以伽玛分布为基础,进行对数关系y=lnx的转换而成,其频率密度函数为

随机性水文模型

式中符号如上。

耿贝尔分布曲线,这是极值分布Ⅰ型曲线,由耿贝尔(E.J.Gumbel)首先把此型曲线用于水文学中,因而得名。其频率分布函数为

随机性水文模型

式中 α和u为两个参数。

这类模型的用途是为工程的规划设计提供设计标准(以频率或重现期表示)与设计数据之间的关系,可以在已有的资料范围内进行平滑内插,也可在资料范围外作外延。

回归模型 是指多个(两个或两个以上)变数系列之间相关关系的数学表达式,分线性回归模型和非线性回归模型。

线性回归模型指其中待求的常数呈线性(一次幂),并非指变数之间的关系为线性。水文中常用的有:

一般的多变数回归模型,如

y=a0+a1x1+a2x2+……+akxk

式中 x1,x2……,xk为k个自变数;y为因自变数而变的倚变数;a0、a1、a2……,ak为k+1个待求常数,与自变数与倚变数系列的均值,均方差和相互之间的两两相关系数有关。

自回归(AR)模型,表示为同一变数系列不同时刻之间的相关关系,即:

xt=b0+b1xt-1+b2xt-2+……+bkxt-k

式中 下标t表示第t个时刻,t-1为t的前一个时刻,t-2为t的前两个时刻,等等;b0、b1、b2……,bk为待求常数,与系列的均值,均方差及各时刻变数之间的相关系数有关。

自回归移动平均(ARMA)模型,即:

xt=b1xt-1+……bkxt-k+εt-a1εt-1-a2εt-2

……-akεtk

式中 各个a和b为待求常数;ε为下标所指定时刻时实测值与相关模型计算值之差,称残差或误差。

自回归移动平均求和(ARIMA)模型,即

随机性水文模型

式中 B为向前运算子,即Byt=yt-1、B2yt=yt-2等;▽为差分运算子,即▽yt=yt-yt-1=(1-B)yt等,又

随机性水文模型

式中 各个α和β为常数。

非线性回归模型的形式很多,凡是待求常数呈非线性形式的模型均是,如:

随机性水文模型

回归模型常用来插补水文系列的缺测项或进行水文预报

随机过程模型 把水文实测值随时间而变的过程以数学的形式表示的模型。如果随机过程各时间区段中的各种参数具有稳定性(如均值过程、均方差过程等均相同,且这一时刻与那一时刻的变数之间的相关系数只与该时间间隔有关),称为平稳的,否则为非平稳的。

水文中常用的非平稳随机过程模型x(t)采用下列形式

随机性水文模型

式中 A(t)为趋势过程,可以是线性趋势(随时间上升或下降趋势,可取用回归模型来表示),也可以是非线性趋势;P(t)是表示周期的过程,是随机过程各类重现周期的迭加;R(t)是随机误差过程(或噪声过程)。

随机过程模型可用于研究水文过程的特征,也可以作未来时刻的水文预测。