登录| 注册    
收藏  点赞 

土坝渗流

透过土坝坝体及坝基运动的水流。设计土坝时需计算渗透流量,浸润线(坝体渗流的自由水面线)位置、渗流的坡降和流速等,并确定渗流控制措施。土坝渗流计算的基本假定是它处于层流状态,服从达西定律(参见渗流、土的渗透性)。计算方法有理论分析法、图解流网法及试验法等。理论分析法有流体力学法和水力学法(有时两者结合使用);试验法有电比拟法、电阻网络法、砂槽法和缝隙水槽法等。

透过土坝坝体及坝基运动的水流。设计土坝时需计算渗透流量,浸润线(坝体渗流的自由水面线)位置、渗流的坡降和流速等,并确定渗流控制措施。

土坝渗流计算的基本假定是它处于层流状态,服从达西定律(参见渗流、土的渗透性)。计算方法有理论分析法、图解流网法及试验法等。理论分析法有流体力学法和水力学法(有时两者结合使用);试验法有电比拟法、电阻网络法、砂槽法和缝隙水槽法等。

流体力学法是根据渗流区域的边界条件,求解拉普拉斯方程式,从而求得渗流区任何一点的渗压、坡降和渗速等渗流要素,但只有在少数边界条件下才能求解,在实用上受到限制。

水力学法以达西定律和杜平假定为基础,后者假定在同一垂线上的水头均相同,这种方法对渗流场的边界条件,也作了简化假定,计算结果能达到一定精度,工程实践中得到了广泛的应用。现列举3种典型情况如下:

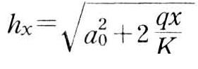
①不透水地基上的均质坝,设堆石排水,下游无水的情况(图1):计算时将库水面以下的上游楔形坝体ABE简化为阻力相当的矩形土体AEFG,通常矩形宽度△l=H

图1 均质坝、有堆石排水、下游无水情况渗流计算图

单位坝长的渗流量q按下式计算:

土坝渗流

坝体浸润线按下式求得

土坝渗流

式中符号含义见图1。

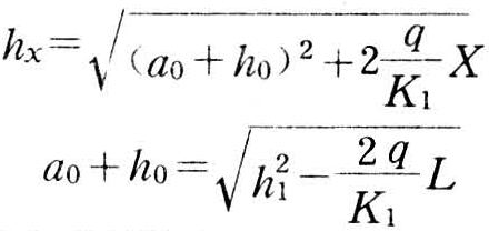
②不透水地基上的心墙坝,有堆石排水,下游有水的情况(图2):

图2 有堆石滤水坝趾心墙坝的渗流计算图

单位坝长的渗流量q按下式计算:

土坝渗流

当K/K0>100以上时,上游坝体的阻渗作用可以忽略,采用

当K/K0<100时,则采用δ0=δ0·b0=δ1·b1

下游部分坝体中的浸润线位置由下式求出:

土坝渗流

式中符号含义见图2。

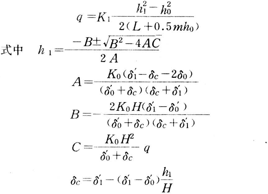
③有限深透水地基上带隔水墙及堆石排水的塑性斜墙坝,下游无水的情况(图3):

图3 有限透水地基上带隔水墙及堆石排水的斜墙坝渗流计算图

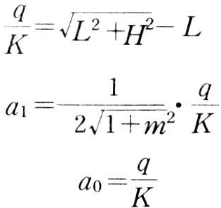
单位坝长渗流量q按下式计算:

土坝渗流

当K0=KT时,浸润线的位置可按下式求得:

土坝渗流

还可用有限单元法计算土坝渗流。有限单元法以变分原理为基础,通过区域剖分和分片插值把求泛函的极值问题,化为一组多元线性代数方程组来求解,从而求得渗流区任一点的渗流要素,适用于各种复杂的边界条件,是一种可以广泛应用的方法,但要采用电算手段。