登录| 注册    
收藏  点赞 

弯道环流

弯道横断面上各水流质点的横向分速构成的环形水流(图1,b)。这种环形水流也称横向环流,它与纵向水流一起,合成弯道上的螺旋流(图1,a)。弯道环流是由于水流沿曲线运动时受离心力与重力的共同作用形成的。弯道水流受离心力作用形成横向水面坡降;任一水体均承受由横向水头差产生的侧压力,该力与离心力的合力决定了环流运动流速的方向和大小(图1

弯道横断面上各水流质点的横向分速构成的环形水流(图1,b)。这种环形水流也称横向环流,它与纵向水流一起,合成弯道上的螺旋流(图1,a)。弯道环流是由于水流沿曲线运动时受离心力与重力的共同作用形成的。弯道水流受离心力作用形成横向水面坡降;任一水体均承受由横向水头差产生的侧压力,该力与离心力的合力决定了环流运动流速的方向和大小(图1,b、c)。

图1 弯道环流示意图

弯道环流水力特征值的计算包括确定横向水面坡降及横向流速等内容。横向水面坡降Jr的表达式为:

弯道环流

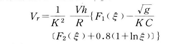
在弯道半径较大的宽浅河渠中,可近似按下式确定横向(水平)流速Vr

光滑床面(C≥50米0.5/秒)

弯道环流

粗糙床面(C<50米0.5/秒)

弯道环流

以上各式中:g为重力加速度;V为计算点沿水深的纵向流速平均值;R为弯道半径;C为谢才系数;K为卡曼常数,取0.4~0.5;h为计算点垂线上的总水深;ξ为相对水深,ξ=Z/h;Z为计算点在河底以上的高度;F1(ξ)、F2(ξ)分别为ξ的函数,可根据ξ值由图2所示曲线查得。

由于弯道水流的螺旋运动,表层较清的水流向凹岸,造成凹岸冲刷;从凹岸向下转向凸岸的底层流携带大量泥沙,导致凸岸淤积(图1,a)。这种作用致使主流不断向下游凹岸偏移,成为引起河道演变的一个重要因素。正确选择取水口在弯道凹岸上的位置,可发挥弯道环流在灌溉取水中的积极作用,防止底沙进入渠道(见无坝取水)。为保证取水口的正常工作,有时需在弯道凹岸修建护岸工程。有些取水工程在缺乏天然弯道的情况下,可布置人工弯道,利用所引起的人工环流防沙或排沙。中国新疆维吾尔自治区修建的人工弯道式取水及曲线形沉沙池(见沉沙池)均属此类型。

图2 ξ一F(ξ)关系曲线