登录| 注册    
收藏  点赞 

小面积设计洪水

面积范围一般在300平方公里以内的流域设计洪水。小面积设计洪水计算,是水利水电,铁路公路、市政和工厂矿区等防洪排涝工程设计的重要技术问题,其特点是集水面积小,汇流时间短,洪水陡涨陡落,在受水范围内往往缺乏实测降雨和流量资料,要利用形成洪水有关的因素间接计算。主要有以下几种计算方法:经验公式法 根据邻近小集水面积的实测流量资料

面积范围一般在300平方公里以内的流域设计洪水。小面积设计洪水计算,是水利水电,铁路公路、市政和工厂矿区等防洪排涝工程设计的重要技术问题,其特点是集水面积小,汇流时间短,洪水陡涨陡落,在受水范围内往往缺乏实测降雨和流量资料,要利用形成洪水有关的因素间接计算。主要有以下几种计算方法:

经验公式法 根据邻近小集水面积的实测流量资料,分析各种地理因素(如流域面积、河道坡度、河流长度等),暴雨参数与洪水的经验关系建立经验公式,应用于本地区小面积设计洪水计算。

推理公式法 推理公式的原理是:在流域全面(或部分)汇流情况下,出口断面处洪峰流量,随相应于造峰历时的暴雨强度而线性变化。

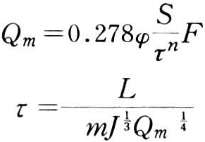
自从1851年爱尔兰的马尔瓦尼(T.J.Malvaney)提出推理公式Q=φiF以来(Q为洪峰流量,i为雨强,F为集水面积,φ为洪峰流量系数),历经一百多年,逐步形成半经验半理论的推理公式形式。中国从20世纪50年代起,广泛地开展了对推理公式的研究,由于各研究单位选取的参数和定量方法不同,有多种形式的公式,水利水电科学研究院于1960年发表的公式如下:

小面积设计洪水

式中 Qm为洪峰流量;φ为洪峰流量系数;S为暴雨强度(毫米/小时);n为暴雨指数,随降雨历时而变;F为流域集水面积;τ为流域的汇流时间;L为干流长度;J为河道坡度;m为汇流参数。在这种方法中,考虑了全面汇流、部分汇流对造峰的影响,所推求的汇流参数m值与各站的流域特征值建立经验关系,以用于无水文资料工程地点的设计洪水计算。

铁路系统研究部门,亦研制了多种形式的推理公式,其特点是考虑了坡面流对洪水的影响。

单位线法 以设计暴雨单位线来推求设计洪水的方法有:①经验单位线法:如果设计断面有实测的流量资料及雨量资料,则可以根据峰形较好的实测洪水过程,分割为单位时段单位净雨的单位过程线,在推求设计洪水时,以设计净雨过程及单位线反求出设计洪水过程。②综合单位线法:先分别分析出区域范围内各流量站各次洪水的单位线及单站单位线参数(如峰高、峰形参数等),再以各站的地形特性参数与单位线参数建立经验关系,从而应用于本地区短缺资料的小面积洪水计算。③瞬时单位线法:单站的单位线参数(如n、K值),可用纳希(J.E.Nash)提出的矩法求得,地区综合方法基本同综合单位线

综合单位线(包括瞬时单位线)计算设计洪水时,首先分析设计流域的特征值,再以综合单位线成果查算出单位线特征值或参数,并计算出设计洪水过程。

此外还有水动力学法,即运用水力学中不稳定流运动方程的阻力项,建立运动波方程,并与连续方程联立,以进行小面积的坡面和河道的汇流计算。