登录| 注册    
收藏  点赞 

漩涡

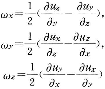
作旋转运动的局部水流。例如桥墩后面水流中的漩涡,管道或泄水隧洞进水口前水体中的立轴漩涡,以及船尾后面水流中出现的漩涡等。流动中,凡质点流速场形成微小质团转动者称为有涡流动,即 旋涡 若ωx,ωy,ωz不同时为零时,则角转速矢量ω存在。反之,当流动中角转速矢量ω为零时,称为有势流动。

作旋转运动的局部水流。例如桥墩后面水流中的漩涡,管道或泄水隧洞进水口前水体中的立轴漩涡,以及船尾后面水流中出现的漩涡等。

流动中,凡质点流速场形成微小质团转动者称为有涡流动,即

旋涡

若ωx,ωy,ωz不同时为零时,则角转速矢量ω存在。反之,当流动中角转速矢量ω为零时,称为有势流动。

根据漩涡是否有势流动,可将它分为自由涡与强迫涡两种运动形式:

自由涡,又称势涡,是一种有势流动,ω=00这种运动一经由某种扰动形成漩涡以后,在有势质量力的作用下,流体继续作回转运动,理论上无须再加入能量。此时,流速与质点的涡心距r成反比,uα。如水桶中的水从桶底中心处小孔口流出时,在桶中水体所产生的漩涡即是。

强迫涡是由某种扰动力的不断作用推动流体旋转而形成的漩涡,其流体质点的角转速矢量ω≠0,所以是有涡流动。水流流速与质点涡心距r成正比,即uαr。如旋转圆筒带动桶内水流旋转的情形。