登录| 注册    
收藏  点赞 

岩基

支承建筑物的基底岩石。若岩基受力过大而超过其承载力或引起的沉降量超过设计允许值,则将危及建筑物的安全或影响其正常使用。岩基计算包括应力、变形、承载力计算及稳定分析等。岩基应力计算 对均质岩基,可用弹性力学有关公式计算应力。一般将荷载(包括基底扬压力)分成垂直的和水平的,由此引起的岩基内应力可由相应的表格或应力系数曲线查出。

支承建筑物的基底岩石。若岩基受力过大而超过其承载力或引起的沉降量超过设计允许值,则将危及建筑物的安全或影响其正常使用。岩基计算包括应力、变形、承载力计算及稳定分析等。

岩基应力计算 对均质岩基,可用弹性力学有关公式计算应力。一般将荷载(包括基底扬压力)分成垂直的和水平的,由此引起的岩基内应力可由相应的表格或应力系数曲线查出。对非均质岩基,特别是复杂成层或互层岩石组成的岩基,其应力计算可用有限单元法光弹性试验解决。如大坝岩基由陡倾角的软硬不同的岩石组成,其应力状态取决于坝下软硬岩石的位置。当软弱岩石位于坝踵部位时,对上游接触面应力有利;若坝踵处为坚硬岩石,则对上游面应力不利。复杂岩基的应力计算有待深入研究。

岩基变形 可分为垂直变形、水平变形和角变位。均质、坚硬岩基的变形,可用弹性力学中相应公式求得。而非均质的及有软弱夹层的岩基可产生不均匀变形或过量的变形。其变形量可用有限单元法等算出,不同的岩体的允许变形量是不同的。不均匀变形可能造成帷幕破坏,应加强变形监测。

岩基承载力 岩基承受荷载的能力,有极限承载力和允许承载力之分。岩基的设计压力要小于允许承载力以保证岩基的稳定性。一般情况下,完整坚硬岩基的承载力是不成问题的。只有整体性差的软弱岩层或底宽较窄的坝基,才需要进行其承载力的验算,通常中小型水工建筑物可按建筑地基规范选用,大型水工建筑物应当通过计算求得。软弱岩石的承载力也可由现场试验决定。

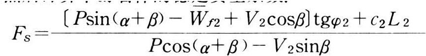
岩基的稳定分析 主要目的是保证建筑物不滑动和不倾。大坝失稳有两种情况:浅层滑动和深层滑动。前者是指闸坝与岩基接触部位的滑动,亦称表层滑动。后者是由于岩基内存在着不利于稳定的节理、裂隙和软弱夹层或断层等软弱结构面,闸坝与岩基沿此类软弱面发生的深部滑动。在稳定分析中力的组合,一般包括建筑物和岩体自重、坝前水压力、坝基渗透压力、滑动面上的抗剪强度、侧向阻力和下游岩体的阻滑力等。对浅层滑动稳定性分析,可分为计及和不计及凝聚力两种情况。对深层滑动计算,可根据其受力情况和滑动体几何形状进行二维或三维计算。稳定分析应首先根据工程地质勘察资料判断可能的滑动面形状和位置。其次,确定计算荷载和计算公式。对岩石的抗剪强度参数(凝聚力c和摩擦角φ)和稳定安全系数Fs应慎重选择。前者以试验资料为基础,对照实地情况选用;后者按有关规范确定,对复杂岩基(包括软弱夹层)的稳定性分析。目前多数采用刚体极限平衡法分析。对深层滑动稳定计算现以双斜滑动面为例(见图)进行说明。可先算出前段滑动面L1向下滑动的滑动力,

岩基

式中 V1为坝体和岩基滑动体的重量;L1为前段滑动面长度;c1和φ1分别为该滑动面的凝聚力和内摩擦角;为滑动面上的渗透压;H为库水压力。然后计算下游岩体的稳定安全系数,

岩基

岩基深层滑动

式中 V2为下游岩体自重;L2为下游岩基滑动面长度;c2和φ2分别为该滑动面的凝聚力和内摩擦角,其他符号如图所示。

由于拱坝坝肩岩石承受着拱坝传来的荷载较大、坝基宽度又不大,山体较单薄的坝肩必须在校核其承载力的同时,进行其抗滑稳定计算。若两岸岩基节理、裂隙较多而又难处理,则还应进行整体稳定性验算。对存在若干个可能的滑动面经试算后,应找出其安全系数最小的滑动面。