登录| 注册    
收藏  点赞 

岩坡

岩体或块石堆积而形成的边坡。岩坡稳定性是工程建设中经常遇见的问题。它不同于一般土质边坡,其特点是岩体结构复杂,断层、节理、裂隙互相切割,块体极不规则。因此岩坡稳定有其独特性质。它同岩体的结构、容重和强度、边坡坡度、高度、岩坡表面和顶部所受荷载,边坡的渗水性能、地下水位的高低等有关。岩坡稳定性 因其内部结构的不同而不同。其内部结构有整体和非整体、均匀和非均匀之分。

岩体或块石堆积而形成的边坡。岩坡稳定性是工程建设中经常遇见的问题。它不同于一般土质边坡,其特点是岩体结构复杂,断层、节理、裂隙互相切割,块体极不规则。因此岩坡稳定有其独特性质。它同岩体的结构、容重和强度、边坡坡度、高度、岩坡表面和顶部所受荷载,边坡的渗水性能、地下水位的高低等有关。

岩坡稳定性 因其内部结构的不同而不同。其内部结构有整体和非整体、均匀和非均匀之分。非均匀结构又可分为水平层状结构、块状结构、内倾结构、外倾结构、复杂结构和直立结构。当岩层向外倾时,岩坡最不稳定,而向内倾时,则较难产生滑坡。岩体结构面,特别是软弱结构面的存在往往是岩坡不稳定的主要因素。因此,在岩坡稳定分析中,对软弱结构面的类型、组合形式、分布特征以及由各种软弱面切割后的块体形状等进行仔细分析是十分重要的。岩坡稳定性破坏的原因有:在边坡上或顶部修建人工建筑物,或在坡的下部进行挖掘改变了边坡的形状和应力状态;大雨或其他原因使软弱岩层的强度减小;地下水位发生变化;边坡和裂隙断层中产生过高的孔隙水压力;地震动压力和动水压力的影响;水库水位的骤降;河水对坡脚的冲刷等。岩坡的破坏类型,从形态上看有岩崩和岩滑之分(见图1)。岩崩是岩体因某种原因脱落而在坡脚下造成堆积的一种形式。它经常产生于坡顶裂隙发育的地方。其起因或由于风化等原因减弱了节理面的凝聚力,或由于雨水进入裂隙而形成水压所致;或由于气温变化、冻融逐渐松动岩石而造成。岩滑有平移滑动、楔形滑动和旋转滑动之分,见图1。平移滑动是一部分岩体沿某一软弱斜面(层面、断层、裂隙等)而滑动的现象。楔形滑动是岩体沿两组以上的软弱面滑动的现象。旋转滑动的滑动面,通常呈弧形,这种滑动一般产生于均质岩体中。岩坡的滑动过程有长有短有快有慢,大体可分为三个阶段:首先是蠕变阶段。这一阶段中坡面和坡顶出现拉张裂缝并逐渐加长和加宽,滑坡前缘有时有挤出现象,有时会发出响声,地下水位发生变化。第二阶段是滑动破坏阶段。此时滑坡后缘迅速下陷,岩体以极大的速度向下滑动。此一阶段往往造成极大的危害。最后是逐渐稳定阶段。这一阶段中、疏松的滑体逐渐加密,滑体上的草木逐渐生长,渗出的地下水由浑变清等。

图1 岩坡渭动类型

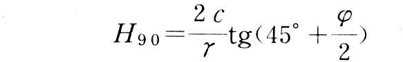
岩坡稳定分析 除一般常见的稳定分析方法(见土坡稳定性)之外,由于地质条件复杂、破坏形式多样,故分析方法也有其特殊性。例如,对于节理杂乱无章而坚硬的块状岩体,若节理壁内无渗透作用,则按太沙基(K.Terzaghi,1883—1963)的意见,此种边坡的临界角约为70°。对于均质的和某些成层的岩坡,其垂直极限高度H90可按下式计算

岩坡

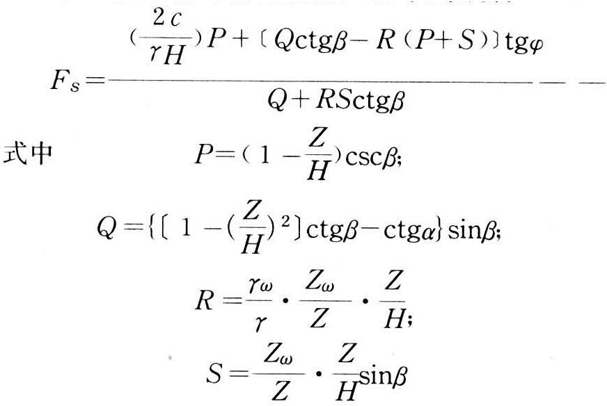
这里γ为岩石容重,c和φ分别为岩石的凝聚力和内摩擦角。对于平面滑动,当坡顶表面有张性裂隙且有地下水作用时,其安全系数可用下式计算:

岩坡

皆为无因次量;γω为水的容重;其他符号见图2。

在分析中,除验算其整体稳定性外,沿各软弱结构面滑动的可能性、渗透水的影响、坡脚是否有冲刷、有无水位骤降、地震和爆破的影响、天然含水状态和饱和含水状态、夹泥层的性质等都应予以考虑。

岩坡加固 现有的岩坡如果经过核算不稳定,可用下列一些方法加固,以提高其稳定性:减缓边坡坡度;采用排水措施进行地表及地下排水;防止水对坡脚的冲刷;在坡面上加反压以增加其抗滑力;设置抗滑桩、挡土墙,利用锚杆或锚索加固或灌混凝土(见岩体加固)等。岩坡失稳而产生大型滑坡的危害极大,因此对于滑坡的地点、规模和时间,滑坡的滑速和可能到达的距离的预报是十分重要的。滑坡的地点和规模可用一般稳定分析方法进行估计。滑坡发生时间的预报应进行地表及深层监测。一遇产生突变,如裂缝明显加大、地下水突然升降等,即应提前报警。滑速的估计是70年代才提出的问题,尚处于研究阶段。

图2 岩坡平面滑动稳定分析简图