登录| 注册    
收藏  点赞 

有机污染

生活污水及工业废水中所含的有机物排入水域后,在微生物的作用下分解、消耗水中的溶解氧(DO),而引起的污染。溶解氧下降会影响水中生物的生存;溶解氧耗尽后,有机物在厌氧条件下分解,会放出硫化氢、甲烷、氨等难闻气体,污染环境。故溶解氧的多少是评价水质的一项重要指标,生化需氧量(BOD)则是表征水体受到有机污染的主要标志。有机质污染的数学模型,就是要建立并求解DO-BOD的扩散输移方程。

生活污水及工业废水中所含的有机物排入水域后,在微生物的作用下分解、消耗水中的溶解氧(DO),而引起的污染。溶解氧下降会影响水中生物的生存;溶解氧耗尽后,有机物在厌氧条件下分解,会放出硫化氢、甲烷、氨等难闻气体,污染环境。故溶解氧的多少是评价水质的一项重要指标,生化需氧量(BOD)则是表征水体受到有机污染的主要标志。有机质污染的数学模型,就是要建立并求解DO-BOD的扩散输移方程。

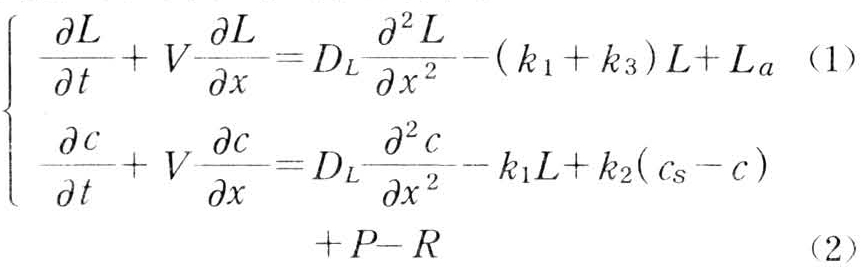
河流有机污染的模型最早是1925年斯特里特(H.W.Streeter)及费尔普斯(E.B.Phelps)建立的,后经基特里尔(F.W.Kittrell)等人的不断补充与修正,坎普(T.R.Camp),多宾斯(W.E.Dob-bins)及德斯南克(R.Dresnack)等人对一维恒定水流,提出了如下的微分方程:

有机污染

第(1)式为有机污染物的质量平衡方程或移流离散降解方程,第(2)式为溶解氧的质量平衡方程或移流离散复氧方程。式中,L为生化需氧量浓度;DL为纵向离散系数,单位为米2/秒;kI为有机质耗氧系数,单位为1/秒;k3为污染微粒沉降系数,单位为1/秒;La为生化需氧量沿河加入速度,单位为吨·秒-1·米-3;C为溶解氧的浓度;Cs为溶解氧的饱和浓度;K2为复氧系数,单位为1/秒;K2(Cs-C)为复氧量,它与缺氧量(Cs-C)有关;P为光合作用的增氧速度,单位为吨·秒-1·米-3;R为底泥耗氧及水生物呼吸耗氧的速度,单位为吨·秒-1·米-3;V为断面平均流速。

方程中的参数通过实验及现场观测或配合分析计算确定,其值是否正确,直接影响到模型的可靠性。至今这方面的研究工作仍极为活跃。

一般说来,河流模型比较能反映实际,而湖、海的模型比较复杂,可靠性差。水质模型的维数,主要取决于所研究的范围及水体中污染物的混合情况,一般使用一维或二维的模型已足够了。