登录| 注册    
收藏  点赞 

有限振幅推进波

波高为有限值的余波。其理论有斯托克斯波、孤立波、椭余波、余摆线波等理论,但目前应用较广的则为余摆线波理论。结合不同情况,它又可细分为深水推进波及浅水推进波两类。深水推进波 其中典型的理论为盖司特耐(F. G erstner)于1802年提出的圆余摆线理论。他认为在深水中二维有限振幅推进波中,水质点在垂直平面上做等速圆周运动

波高为有限值的余波。其理论有斯托克斯波、孤立波、椭余波、余摆线波等理论,但目前应用较广的则为余摆线波理论。结合不同情况,它又可细分为深水推进波及浅水推进波两类。

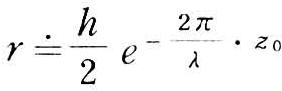
深水推进波 其中典型的理论为盖司特耐(F. G erstner)于1802年提出的圆余摆线理论。他认为在深水中二维有限振幅推进波中,水质点在垂直平面上做等速圆周运动,见图1。由图2可得水质点的运动关系式为:

有限振幅推进波

式中 σ=2π/τ;k=2π/λ,τ为周期,λ为波长,γ为水质点轨迹圆半径。

有限振幅推进波

根据连续性方程和运动方程可得

有限振幅推进波

水面波形方程为

有限振幅推进波

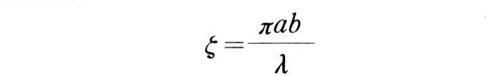
式中 θ为参变数。这个方程表示的曲线为圆余摆线,见图3。超高为:ξ=

水质点运动速度为:

有限振幅推进波

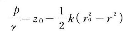
波压强为:

有限振幅推进波

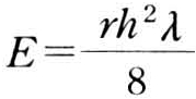
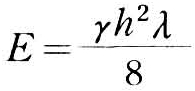
波能量为:

有限振幅推进波

图1 圆余摆线波浪理论

图2 质点运动关系

图3 圆余摆线

图4 椭圆余摆线波浪理论

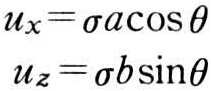
浅水推进波 其中典型的理论为鲍辛耐司克(J.B oussinesq)于1871年提出的椭圆余摆线理论。他认为浅水中二维有限振幅推进波中,水质点在垂直平面上做椭圆运动。见图4。椭圆的水平轴为长轴,垂直轴为短轴,由图5,水质点m的运动关系式为

有限振幅推进波

式中

有限振幅推进波

图5 质点运动关系

根据连续性方程和运动方程可得:

有限振幅推进波

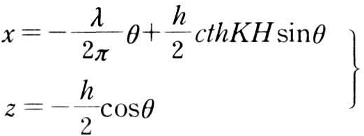
水面波形方程为

有限振幅推进波

式中 θ为参变数。这个方程表示的曲线为椭圆余摆线,见图6。

超高为:

有限振幅推进波

水质点运动速度为:

有限振幅推进波

波压强为

有限振幅推进波

波能量为

有限振幅推进波

图6 椭圆余摆线

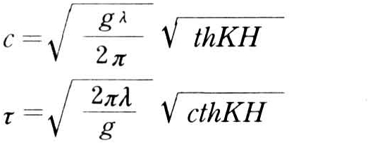
当椭圆余摆线理论中水深趋于很小时,其极限情况就和孤立波理论所得结果一致。此时,相邻波峰间实际上已无关联;波长可以认为是无限大。有时周期波波峰附近一段的波动特性可用孤立波理论来处理。