登录| 注册    
收藏  点赞 

重力坝应力分析

重力坝在荷载作用下坝体和坝基的应力的分析计算。在进行应力分析时,也同时进行变形和变位的计算。应力分析的目的是为了判定坝在施工期及运用期是否满足强度和变形方面的要求,同时也为坝体材料标号分区、施工分缝分块、坝内孔洞布置以及在某些部位配置钢筋等提供依据。重力坝应力分析方法有①弹性理论法,包括解析解法和有限单元法、有限差分法等数值解法

重力坝在荷载作用下坝体和坝基的应力的分析计算。在进行应力分析时,也同时进行变形和变位的计算。应力分析的目的是为了判定坝在施工期及运用期是否满足强度和变形方面的要求,同时也为坝体材料标号分区、施工分缝分块、坝内孔洞布置以及在某些部位配置钢筋等提供依据。重力坝应力分析方法有①弹性理论法,包括解析解法和有限单元法有限差分法等数值解法;②材料力学法(又称重力分析法);③模型试验法,如光弹性试验结构模型试验地力学模型试验等。计算和试验可彼此补充,相互验证。

1898年,法国列维(M.Levy)用弹性理论的解析解法得出了无限楔体在重力和表面力作用下的应力解答,并建议用来分析坝内应力。以后很多弹性力学学者相继研究过重力坝应力的解析和数值解法,如布拉兹(J.H.Brahtg)用角缘本征函数计算基础的影响,喀列尔金(Б.Т.Гaлeркин)用迭加法计算梯形截面及坝内有大孔口时的应力,辛格维兹(O.C.Zienkie-wicz)用迭弛法求解坝和地基内的应力等。但对于边界条件稍为复杂的实际问题,用弹性理论法难以求解,或只能求得误差较大的近似解。有限差分法是适用范围较广的数值解法,但计算工作量又较大。

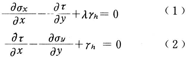
材料力学法早在19世纪50年代在弹性理论法诞生前已被法国工程师们采用。他们作了一条基本假定,即坝水平断面上的正应力σy呈直线分布。有了这一假定,即可应用微元体平衡微分方程式,求出坝内任一点上的剪应力τ、水平正应力σx及主应力。对实体重力坝,可沿坝轴线取单位宽度为1米的坝体作为对象,按平面问题进行计算。荷载及应力正负号如图所示。图中,

坝体应力计算图

γh为坝体材料的容重,λ为水平地震惯性力系数,当无扬压力作用时,坝内微元体平衡微分方程式为:

重力坝应力分析

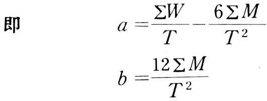
根据σy呈直线分布的假定得:

重力坝应力分析

式中系数a、b可根据材料力学中的偏心受压公式求得,

重力坝应力分析

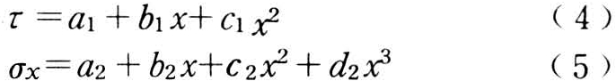
将式(3)代入式(2)和式(1),可知剪应力τ呈二次抛物线分布,σx呈三次抛物线分布,即

重力坝应力分析

式中a1、b1、c1、a2、b2、c2、d2为系数,可由边界条件及上、下游边缘应力按平衡条件求得。但当有扬压力作用时,还须计算由扬压力引起的坝内应力,然后与无扬压力作用下所得的应力相叠加。计算工作量较大时,可利用计算机求解。

材料力学法不能计算坝基内的应力,也不能计算坝内各点的变位,算得的坝体应力由于受到坝基变形的影响,仅在距坝基面1/4~1/5高度以上的部位与弹性理论的解答接近一致。但是由于它方法简便,有长期的、广泛的使用经验,迄今仍是重力坝应力分析的基本方法,用它来设计坝剖面和控制坝体及坝基面的应力。对中、低坝,当地质条件较好时,可只按材料力学法计算坝内应力,有时可只计算坝体边缘应力。对于高坝,尤其当地质条件复杂时,宜同时进行模型试验或采用有限单元法进行计算。

近20年来随着电子计算机的普及,有限单元法迅速发展,它扩大了解题的范围,能够适应各种复杂的边界条件,能够同时计算坝体、坝基的各处的应力和变形。例如,对于实体重力坝的应力分析,一般可采用平面有限单元法;属于空间性质的问题,可采用三维有限单元法。对于坝体、坝基材料均一的实体重力坝,其应力分析也可采用边界元法,对于复杂坝基,如存在缓倾角夹层、软弱破碎带等,可采用非线性或弹塑性有限元求解。但是,如何用有限单元法进行重力坝的剖面和地基设计,主要是如何选定控制坝体、坝基内的应力和变形的指标,以及如何确定坝的安全度等,尚待继续研究。