登录| 注册    
收藏  点赞 

总蒸发

水面(包括冰、雪表面)蒸发、土壤蒸发和植物散发的总和,也称蒸散发。由于实际上不可能在大面积上测定总蒸发的各项分量,所以常用计算方法估算总蒸发量。陆地上的年降水量,有60%~70%是通过蒸发、散发返回到大气中,因而总蒸发是水文循环的重要组成环节。

水面(包括冰、雪表面)蒸发、土壤蒸发植物散发的总和,也称蒸散发。由于实际上不可能在大面积上测定总蒸发的各项分量,所以常用计算方法估算总蒸发量。陆地上的年降水量,有60%~70%是通过蒸发、散发返回到大气中,因而总蒸发是水文循环的重要组成环节。总蒸发是陆相排水的主要过程,从降雨损失的角度看,它是降雨形成径流过程中的支出项,农田灌溉需水量的计算,取决于正确估算农田的总蒸发量,农田灌溉工程设计和地下水回归量估计,也有赖于总蒸发量的估算。此外,流域总蒸发量的研究对于合理开发利用水资源,也具有重要的意义。

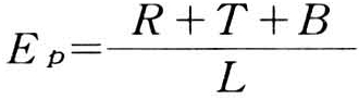
总蒸发能力 在供水充分的条件下,单位时段内消耗于蒸发散发的水量。农业上,常常把总蒸发能力作为作物供水的标准,总蒸发能力估算,可根据水面蒸发量、辐射平衡值、经验公式三种方法计算。在相同的气候条件下,总蒸发能力与自由水面蒸发量密切有关,等于自由水面蒸发量乘一个系数,此系数反映水面与地面间热学状况的差异程度,它与土壤性质、植被类型及植被度有关,一般可根据实验站的资料确定。总蒸发能力取决于流域地面获得的能量,根据热量平衡原理,总蒸发能力与辐射平衡值之间的关系:

总蒸发

式中 Ep为总蒸发能力;R为辐射平衡值;B为地面与大气间热交换量;T为地面与下层土壤的热交换量。如计算时段长达一年以上,可忽略T、B两项,而得近似计算式:

总蒸发

经验公式法利用如日辐射强度、日照时数、风速、温度和湿度等气候资料,与实测总蒸发能力建立经验相关关系。由于经验公式只考虑一些气候因素,并不严格遵循物理成因关系,因而在应用上有很大的局限性,彭曼(H.L.Penman)的半理论半经验公式得到广泛的应用:

总蒸发

式中H为辐射平衡值,根据太阳辐射强度、日照历时、气温和湿度确定;E′α为假定气温等于水温情况下的水面蒸发量;⊿为水汽压曲线在温度为当时气温处的斜率;γ为干湿球温度表常数,等于0.49;α为水面蒸发量对流域总蒸发能力的转换系数,为0.6~0.8。

流域总蒸发量计算 通常用水量平衡法或流域总蒸发模型,计算流域总蒸发。在已知降雨量、蒸发量和蓄水变量等水平衡要素的条件下,农田蒸发量可作为水量平衡方程的余量求得。水量平衡法的主要困难在于不易正确估算计算时段始、末的流域蓄水量。一般可通过下列方法确定流域蓄水量:①布设一定数目的取土样垂线,测定非扰动土样的土壤含水量(或用同位素土壤湿度计),②对特定时段,即起始和终了时刻土壤含水量大体相近的时段,计算水量平衡,热带和温带湿润地区,可以水文年度作为计算时段。③用实验和代表性小流域模拟大流域,以确定蓄水量。

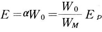
流域总蒸发模型有:一层、二层和三层模型。一层模型是认为整个可蒸发层遵循同样的蒸发规律,即可蒸发层蒸发量同该层内可蒸发土壤水分成正比:

总蒸发

式中 E为总蒸发量,Ep为总蒸发能力,W0为可蒸发层中可蒸发土壤水分,WM为可蒸发层中最大含水量,即田间持水量。一层模型,没有考虑土壤湿度的垂向分布对蒸发的影响,如在土壤水分很小的干旱季节,下一场小雨,水分将分布在表层,很快会蒸发掉。但按上述公式计算,则由于W0小,计算值将偏小。二层计算模型,考虑了土壤水分垂向分布对蒸发的影响。根据土壤的临界含水量,把可蒸发层的田间持水量分成两个阶段,分别遵循不同的蒸发规律:上层土壤水分大于蒸发能力情况,上层土壤按蒸发能力的速率蒸发,而下层土壤蒸发量则为零;在上层土壤水分小于蒸发能力情况下,上层土壤蒸发量等于上层土壤水分。而下层土壤蒸发则为蒸发能力减去上层土壤蒸发再乘以一个系数,它是下层土壤水分与下层可蒸发层最大含水量之比值。三层计算模型,把可蒸发层分为上、下层和深层,前两层之蒸发规律同两层模型,但下层蒸发EL不小于CEM(EM为下层最大可蒸发水分,C为系数)。当下层土壤水分小于CEM时,取下层蒸发等于CEM,直到下层水分大于CEM,不够蒸发时,取下层土壤蒸发量等于下层土壤水分,至于不足部分由深层蒸发。