登录| 注册    
收藏  点赞 

气候要素统计量

描述气候要素集中和离散状况及其出现概率的量数。通常使用各种平均值(如算术平均值、滑动平均值等)、距平值、变率、极值、极差、均方差、离差系数、频率、保证率等。对于不同的气候要素可选择最适当的统计量。为使气候统计量具有相对稳定性和比较性,要求各测站都有较长年代的同时期的观测资料。算术平均值是基本的气候要素统计量,其统计式为:,其中x1,x2……xn为各次观测值,n为观测次数(或资料个数)。

描述气候要素集中和离散状况及其出现概率的量数。通常使用各种平均值(如算术平均值、滑动平均值等)、距平值、变率、极值、极差、均方差、离差系数、频率、保证率等。对于不同的气候要素可选择最适当的统计量。为使气候统计量具有相对稳定性和比较性,要求各测站都有较长年代的同时期的观测资料。

算术平均值

是基本的气候要素统计量,其统计式为:,其中x1,x2……xn为各次观测值,n为观测次数(或资料个数)。表示气候要素的平均状态。按平均时段的长短,可有日、候、旬、月、年和多年的平均值等。日平均值是根据全日各时次(如24次、8次、4次、3次)观测值得出,其余各种平均值可按相应日数的日平均值求取。在气候工作中也统计区域上的平均值,此时上述计算式的x1,x2……等代表区域内各测点的数值。根据平均值的大小可分析气候要素(如平均气温、平均气压等)在时间和空间上的变化情况,有的气候要素(如降水量、日照时数、蒸发量等)的观测值表示一定时段的累积量,因此对它们求取的是总量的平均值。

滑动平均

又称移动平均,指对气候要素序列进行依次滑动求取平均,如某要素有100年资料,需求取10年滑动平均,则可依次从第1至第10年,第2至第11年,第3至第12年……等资料求得作为第5、6……95年的滑动平均值,共91个,组成新的滑动平均序列。这种方法常用于气候变迁和超长期预报研究中,利用这种方法可消除气候要素的较短周期(比进行滑动平均的年数短的周期)的振动和偶然因素的影响,以突出更长周期的振动规律和长年变化趋势。常用的有气温、降水、气压等的10年滑动平均值。

距平

个别次观测值与平均值的差值,在农业上也称为离差,可写成气候学和长期预报中常用气候要素的距平值,表示当年值偏离常年值或单点要素值偏离区域平均值的情况,如某地某一年的降水量偏多、偏少,气温偏高、偏低等。通常把△x称为绝对距平值,还常用它与要素平均值的比值表示相对距平。在实际应用中还把绝对距平或相对距平划分成三级或五级(三级如偏多、正常、偏少;五级如多、偏多、正常、偏少、少)。实际工作中对气温、气压常计算绝对距平,对降水量则常用相对距平。绘制气象要素距平曲线可消除不同站点平均值的差异而显示其随时间的变化情况。

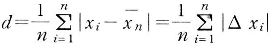
变率

也称绝对变率、平均差、平均离差,表示气候要素序列对于平均值的平均离散程度,它的统计式为:

气候要素统计量

式中n为由n个观测值计算的平均值,取绝对值的目的为避免△xi求和时正负抵消。d值越大,说明序列越离散,变化越大。在气候统计中还应用相对变率表示序列相对的离散程度,使得各地取得的数值可以互相比较。对气温、气压等要素常统计绝对变率,对降水、风速则常使用相对变率。

极值

气候要素序列中的最大值和最小值。最大值与最小值的差,称极差,表示其变化的极端情况。根据求算时段的差异,所求取的极值的含义也有区别,这些都必须有明确的说明。如从某年某月中挑取的一次最高气温,就表示该月的最高气温,而从多年该月气温资料中挑取的最高值,则称该月绝对最高气温,若从该月逐年最高气温中求取平均值,则称该月多年(累年)平均最高气温。所以,在气候学中使用极值必须说明求取时段长短(日、月、年等)和求取方式(是极端的,还是平均的)以表示它的确切含意。在实际工作中,还使用某种频率和保证率下的极值,如30年、50年、100年一遇的极端最大风速,它是根据实际资料,按极值的频率曲线作半经验推算所得。

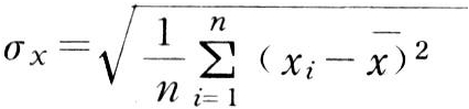
均方差

统计学、气候统计中常用的离散量数,其统计式为:

气候要素统计量

它与变率d的差别在于后者只求取个别偏差的绝对值之和,然后进行平均,均方差则求取偏差平方的总和,然后求平均(此值叫方差)再开方。使用σx的最大优点是便于统计学中运算。它和平均值一起都是重要的统计参数。在气候统计工作中,由于计算上的困难,过去常用变率表示气候要素的离散程度,目前使用σx已较普遍。统计理论上可证明,对于正态变量存在着d=0.8σx的关系。计算有限资料的无偏估计值(即标准差)时,可把σx表达式中右边分母n改成-1。

离差系数

相对的离散量数,指某要素的均方差与平均值的比值,(标准差与平均值的比值,称为变异系数)。目的是使所计算的均方差具有更好的比较性。在降水量和最大风速的统计中,常计算Cv值,对于平均值可能出现零的气候要素不宜计算。

概率和频率

衡量随机事件出现可能性大小的量数。概率论中规定,在一定条件实现时,必然会出现的必然事件的概率等于1,必然不会出现的事件的概率为0;可能出现的事件的概率变化于0与1之间。在实际工作中大多数随机现象的概率,需通过试验加以确定。若对某随机现象,在同样条件下作n次重复试验,结果A出现m次(称为频数)比值

气候要素统计量

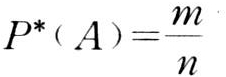
称为n次试验中A出现的频率。若试验次数较少,则所得频率变化较大。若观测次数很多,则频率变化越趋稳定,并总在某一常数附近摆动,这个常数就是A出现的概率。实际的试验次数n总是有限的,常用经验频率

气候要素统计量

作为A现象出现的经验频率的无偏估计值。当n比较小时,P*(A)与P(A)有较大差异,n比较大时(一般在气候统计中认为大于30)两者趋于一致。各种气象要素的频率分布,常分成若干组并用直方图表示,由此可进一步绘制频率分布曲线,拟合频率分布密度函数以及进行理论上的计算,如推算具有各种概率的气象要素值大小(30年一遇的极大风速,100年一遇的暴雨、洪水等)。

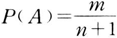
保证率

指某一气候要素或其统计量在某一界限值以上或以下出现的总频率,表示上述界限值保证出现的可能性,用百分数表示。它的计算方法可应用经验频率公式表示:

气候要素统计量

式中 m为按要素值x大小顺序排列(排列方式可视具体需要由小到大或由大到小)的至某一界限值的次数;n为资料总数。在实际工作中,往往需要事先确定某一保证率下的要素值大小。为便于实用需绘制保证率曲线(见气候图,图3),依据的资料越多,绘制的曲线越精确。应用时由图可方便地读取所需任意保证率下的界限值x。表即为按图上保证率曲线读取的各级保证率P下的积温值xp。保证率在应用气候,特别是农业气候分析中得到广泛应用,常需统计具有相当保证率(如80%)的各项农业气候指标

各级保证率P下的积温值x。